Poslední aktualizace :
27/11/2025
Diuretikas   Spironolactone  
Tepalai
Geriamas tirpalas
Stabilumas farmacinių preparatų Mišinių stabilumas Stabilumą lemiantys veiksniai Suderinamumas Bibliografija pdf
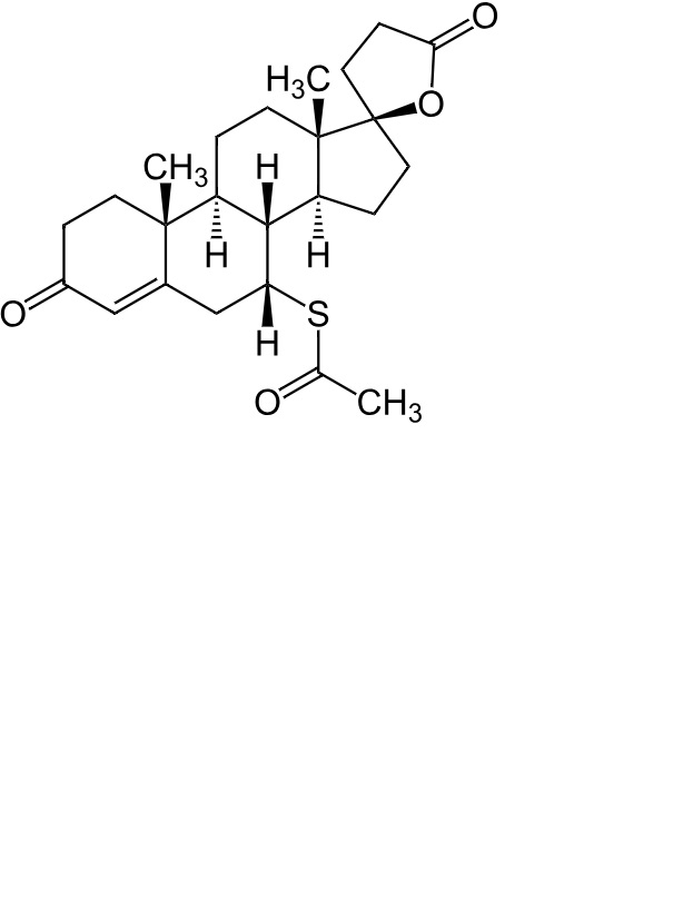
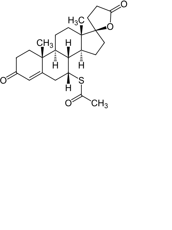
   Cheminė sandara  

Tepalai
Mišinių stabilumas   Tepalai   Mišinių stabilumas : Spironolactone     
Nėra duomenų

  Mentions Légales