Ostatnia aktualizacja :
18/03/2026
Diuretyk   Spironolactone  
Maści
Roztwór doustny
Stabilność preparatów farmaceutycznych Trwałość w mieszaninie Czynnik wpływający na trwałość Zgodność Bibliografia pdf
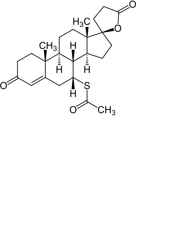
   Struktura chemiczna  

Maści
Trwałość w mieszaninie   Maści   Trwałość w mieszaninie : Spironolactone     
Brak danych

  Mentions Légales