Τελευταία ενημέρωση :
27/11/2025
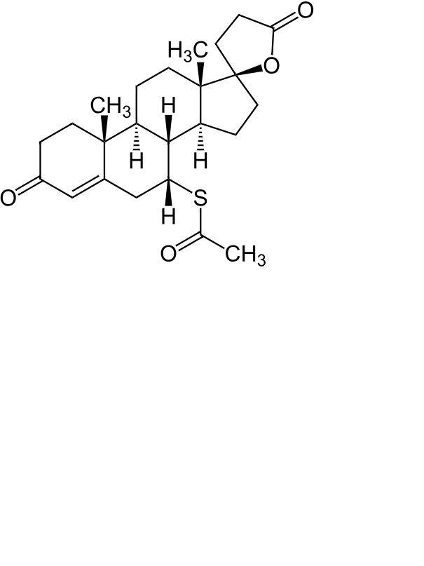
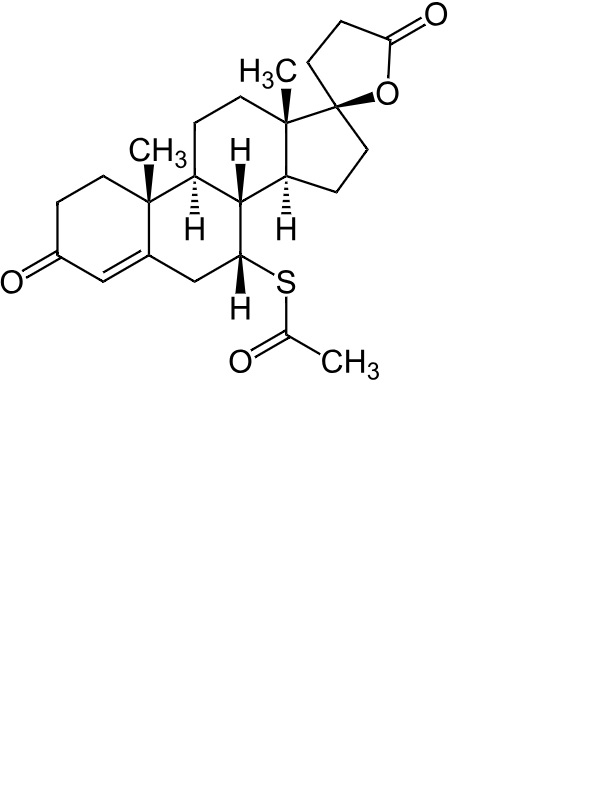
Διουρητικό   Spironolactone  
Αλοιφές
Πόσιμο διάλυμα
Σταθερότητα και συμβατότητα των φαρμάκων Σταθερότητα σε μίγματα Παράγοντας που επηρεάζει τη σταθερότητα Συμβατότητες Βιβλιογραφία pdf
   χημική δομή  

Αλοιφές
Σταθερότητα σε μίγματα   Αλοιφές   Σταθερότητα σε μίγματα : Spironolactone     
Δεν υπάρχουν πληροφορίες

  Mentions Légales