Son güncelleme :
27/11/2025
Antibiyotik   Dapsone  
Merhem
Oral solüsyon / oral çözelti
Farmasötik preparatlar Kararlılığı Karışımlardaki stabilitesi Stabiliteyi etkileyen faktörler Uyumluluk Kaynaklar pdf
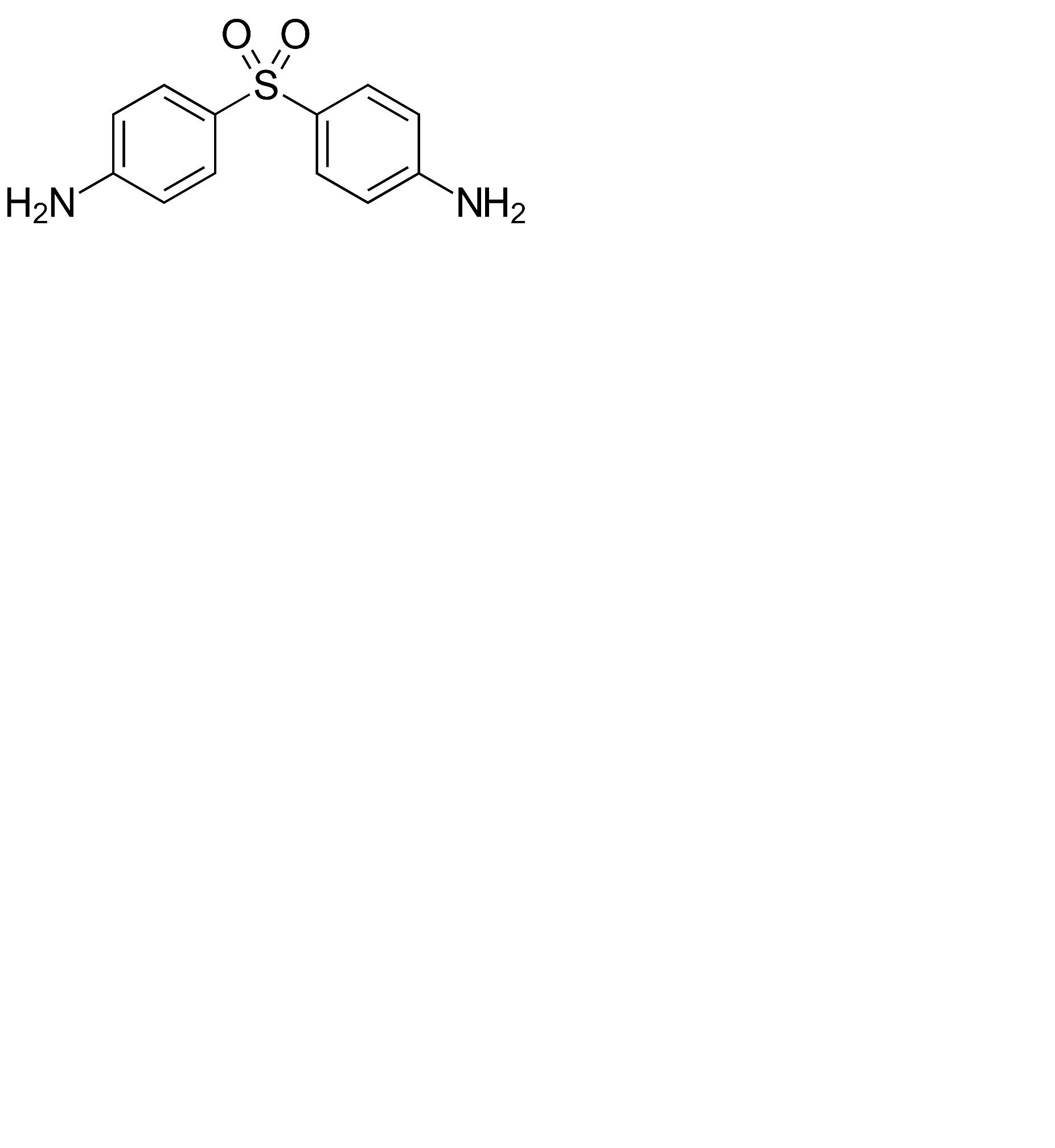
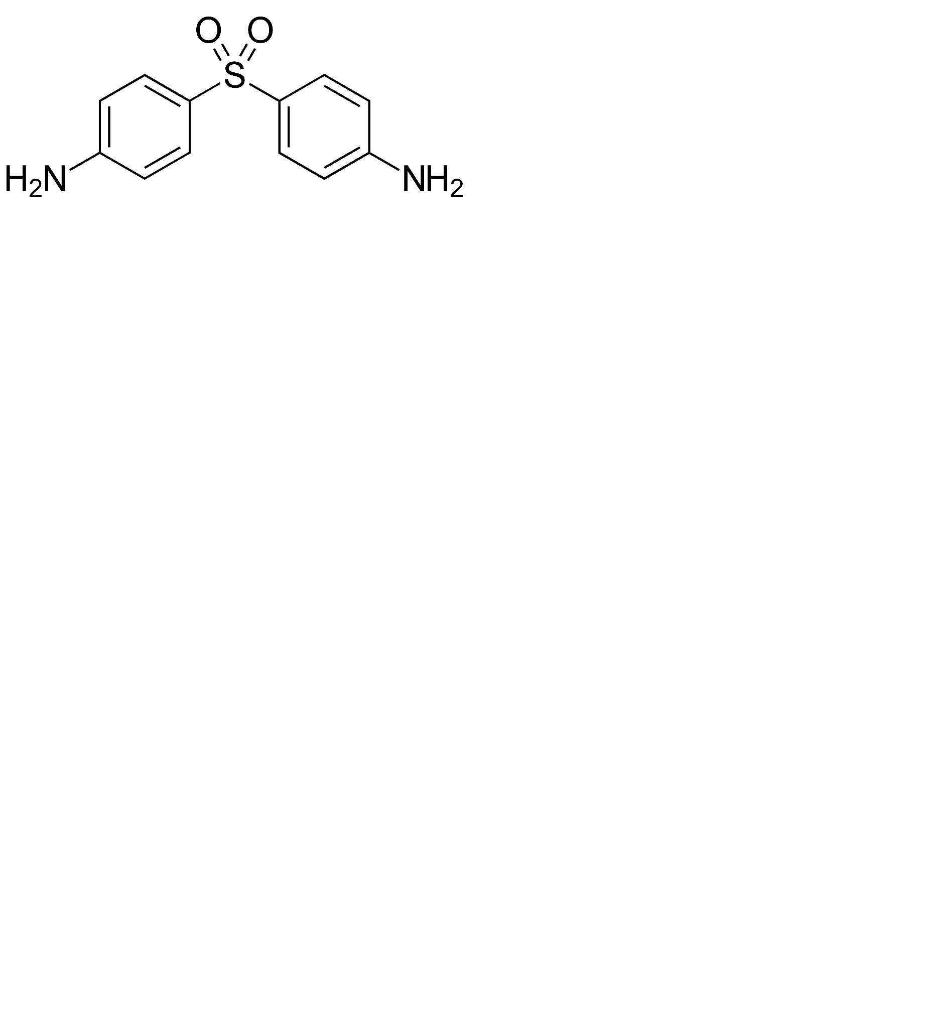
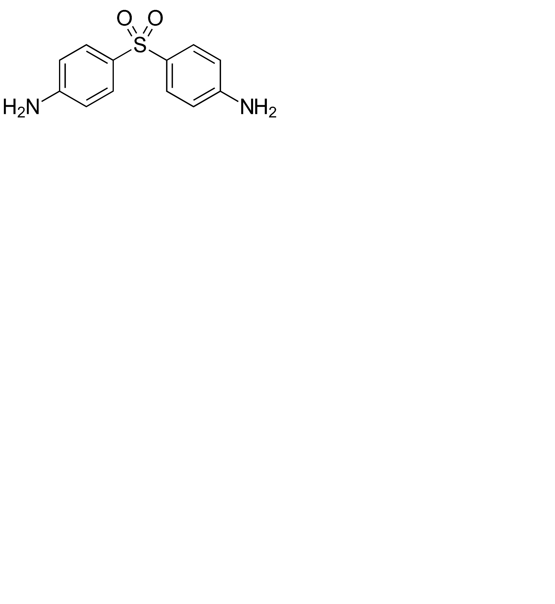
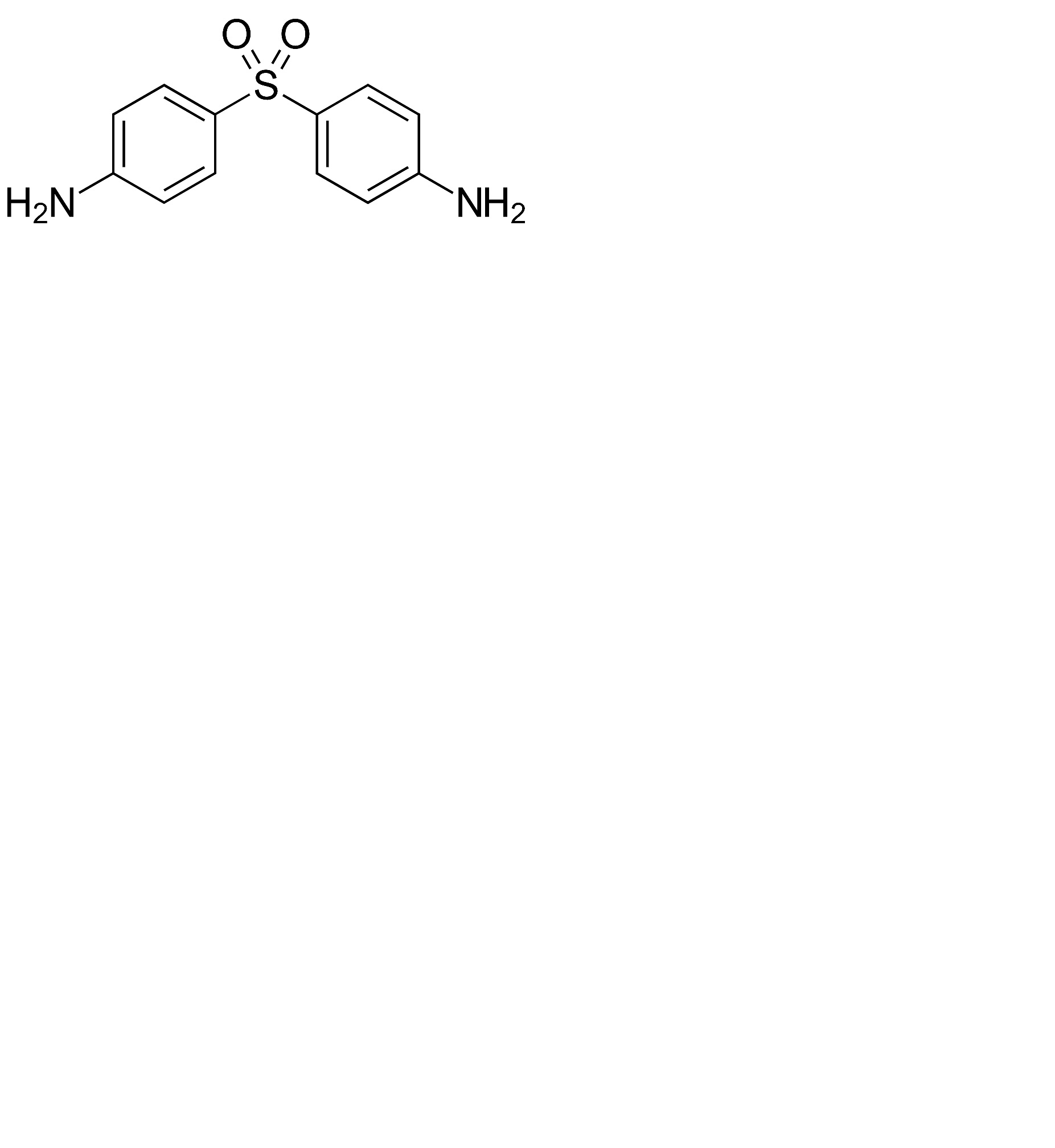
   Kimyasal yapı   

Merhem
Farmasötik preparatlar Kararlılığı   Merhem   Farmasötik preparatlar Kararlılığı : Dapsone     
Saklama kabı Origine yardımcı madde Isı Saklama    Stabilite süresi Kaynaklar
Plastik şişe Toz 2000 mg
® = ?
Cleoderm® >> 40 g
15-30°C Işıktan koruyunuz
180 Gün
4879
Plastik şişe Toz 4000 mg
® = ?
Cleoderm® >> 40 g
15-30°C Işıktan koruyunuz
180 Gün
4879

  Mentions Légales