Seneste opdatering :
27/11/2025
Antibiotisk   Dapsone  
Salver
Oral opløsning
Stabilitet af farmaceutiske tilberedninger Stabilitet i blandinger Faktorer der påvirker stabiliteten Kompatibilitet Bibliografi pdf
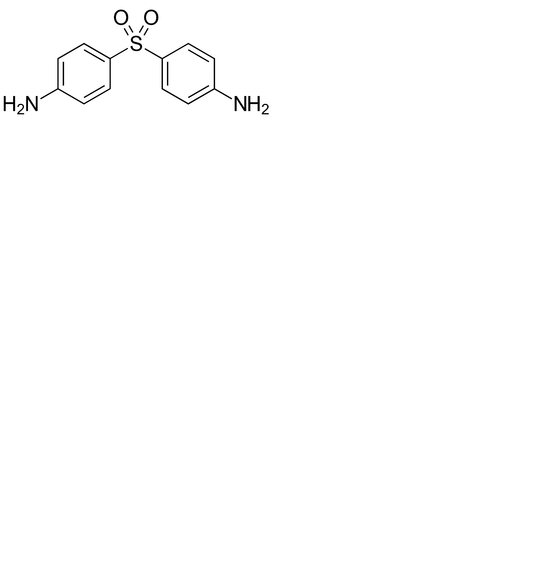
   Kemisk struktur  

Salver
Stabilitet af farmaceutiske tilberedninger   Salver   Stabilitet af farmaceutiske tilberedninger : Dapsone     
Beholder Origine Hjælpestof Temperatur Konservering Varighed af stabilitet Bibliografi
Plastflaske Pulver 2000 mg
® = ?
Cleoderm® >> 40 g
15-30°C Beskyt mod lys
180 Dag
4879
Plastflaske Pulver 4000 mg
® = ?
Cleoderm® >> 40 g
15-30°C Beskyt mod lys
180 Dag
4879

  Mentions Légales