Última actualización :
18/03/2026
Antibiótico   Dapsone  
Preparaciones tópicas
Solución Oral
La estabilidad de las preparaciones farmacéuticas Estabilidad en mezcla Factores que influyen sobre la estabilidad Compatibilidades Bibliografía pdf
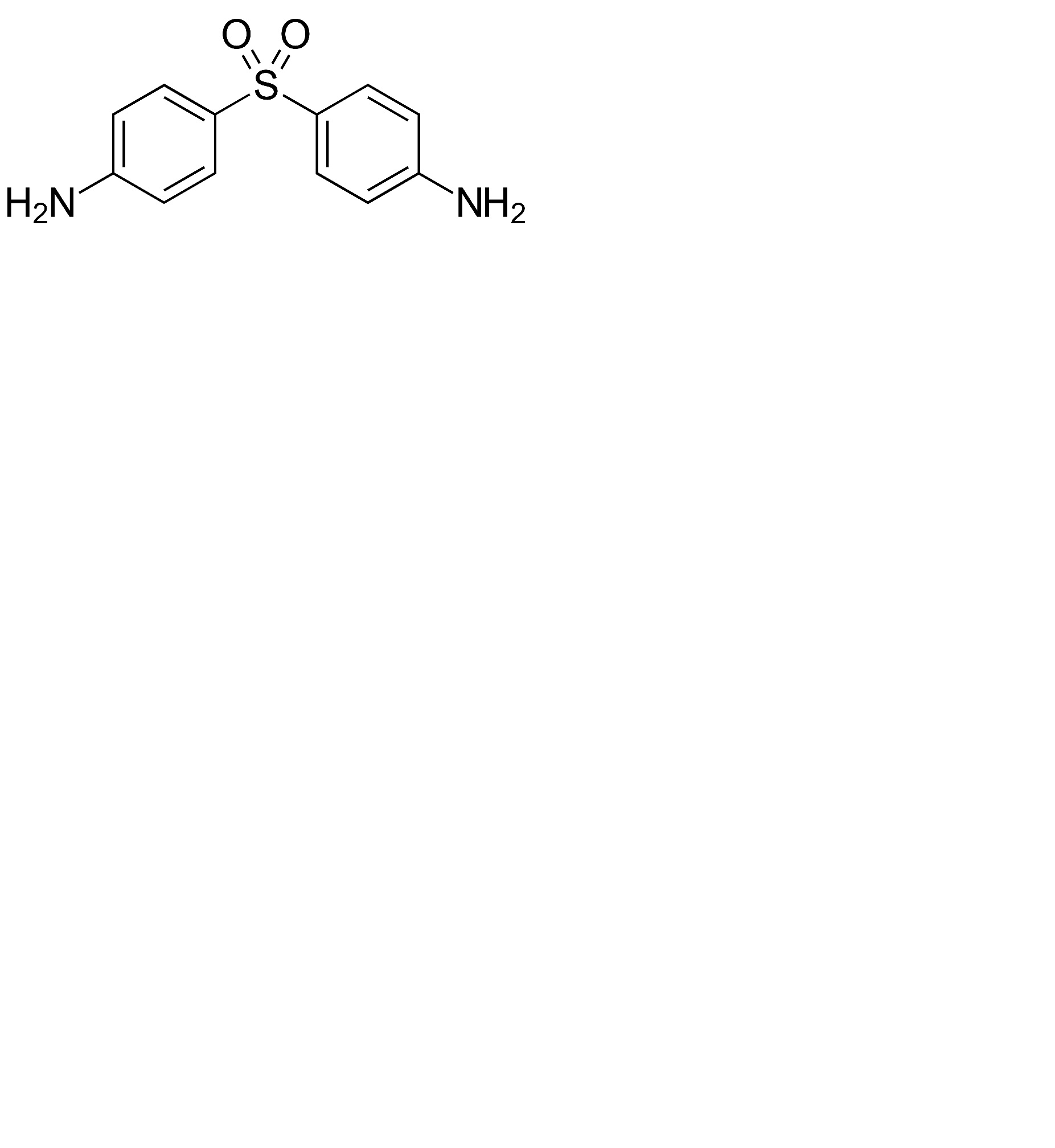
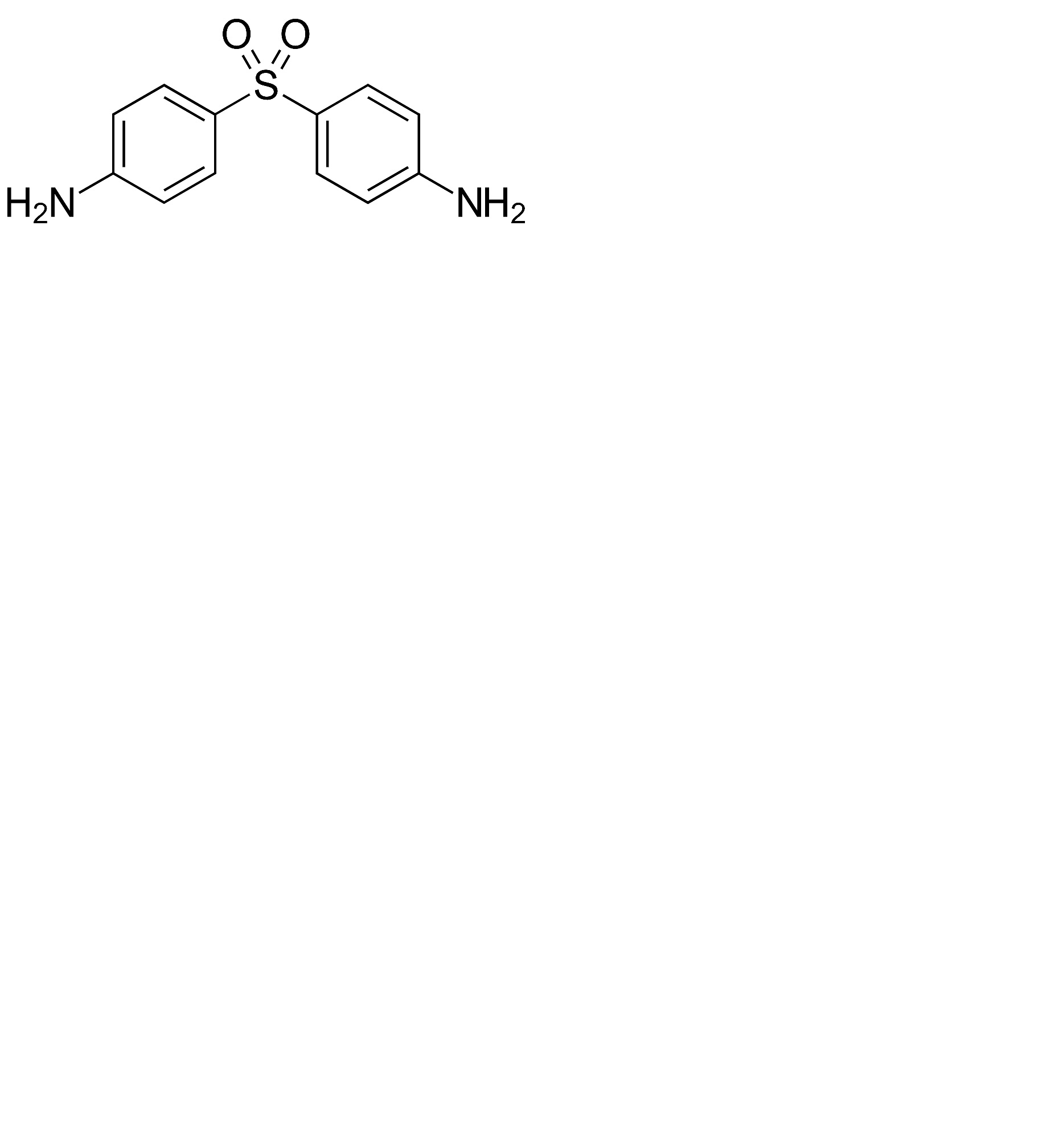
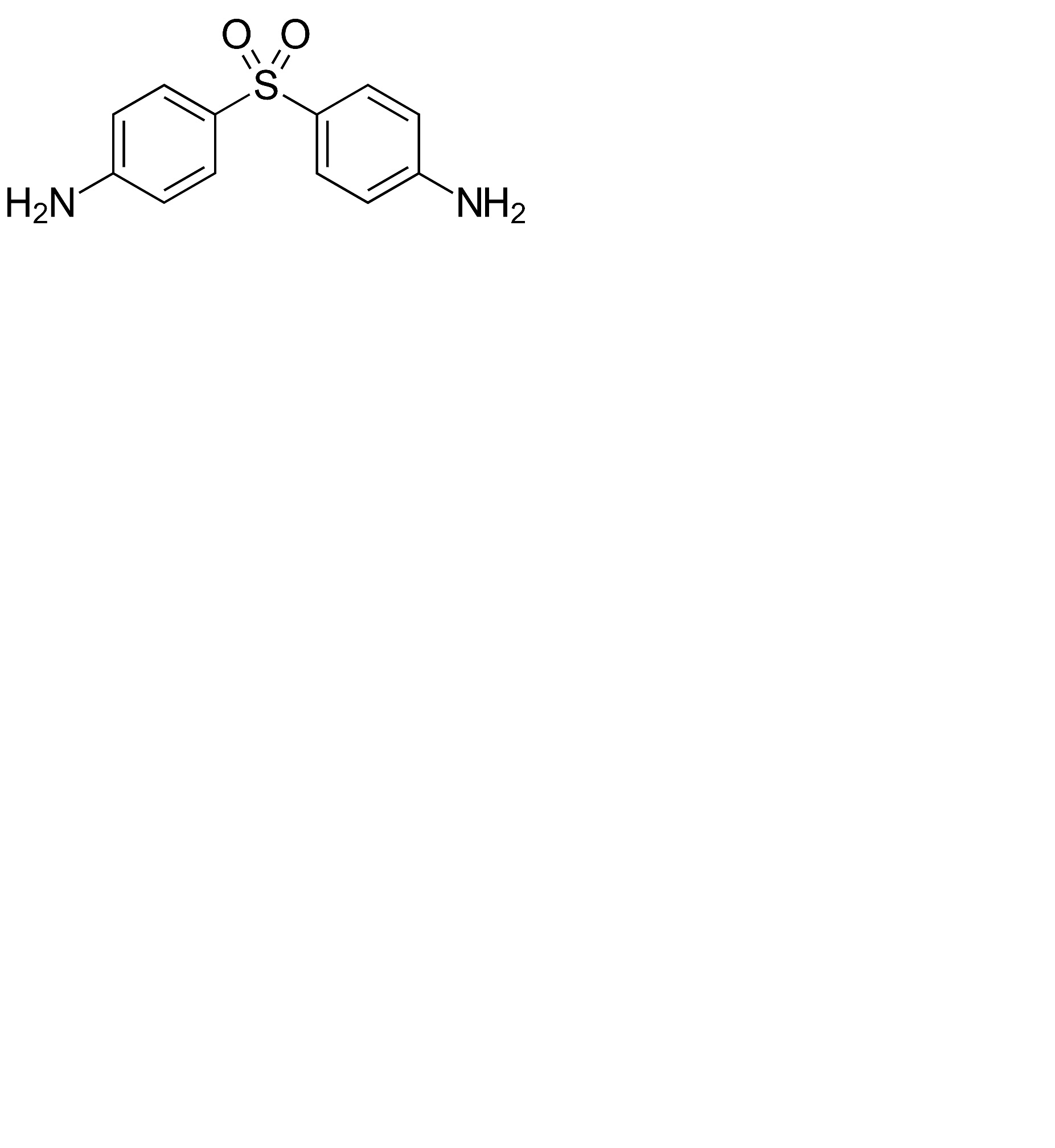
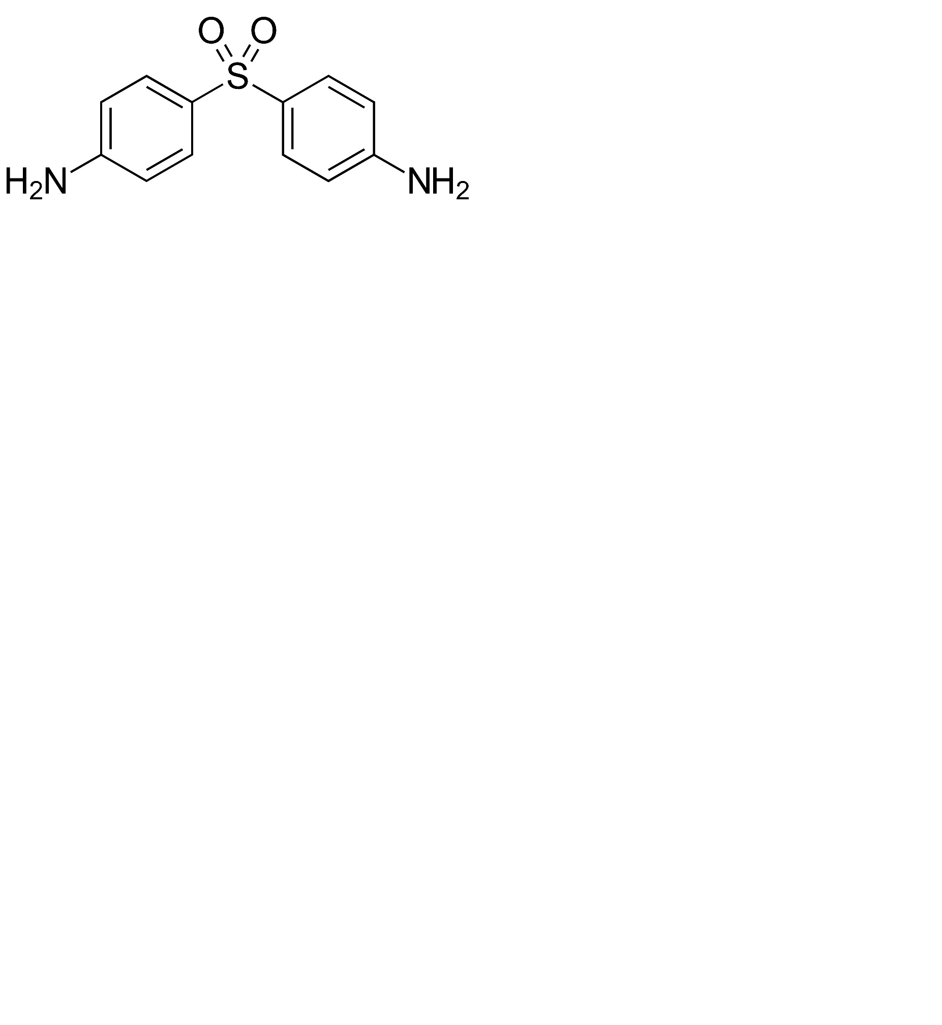
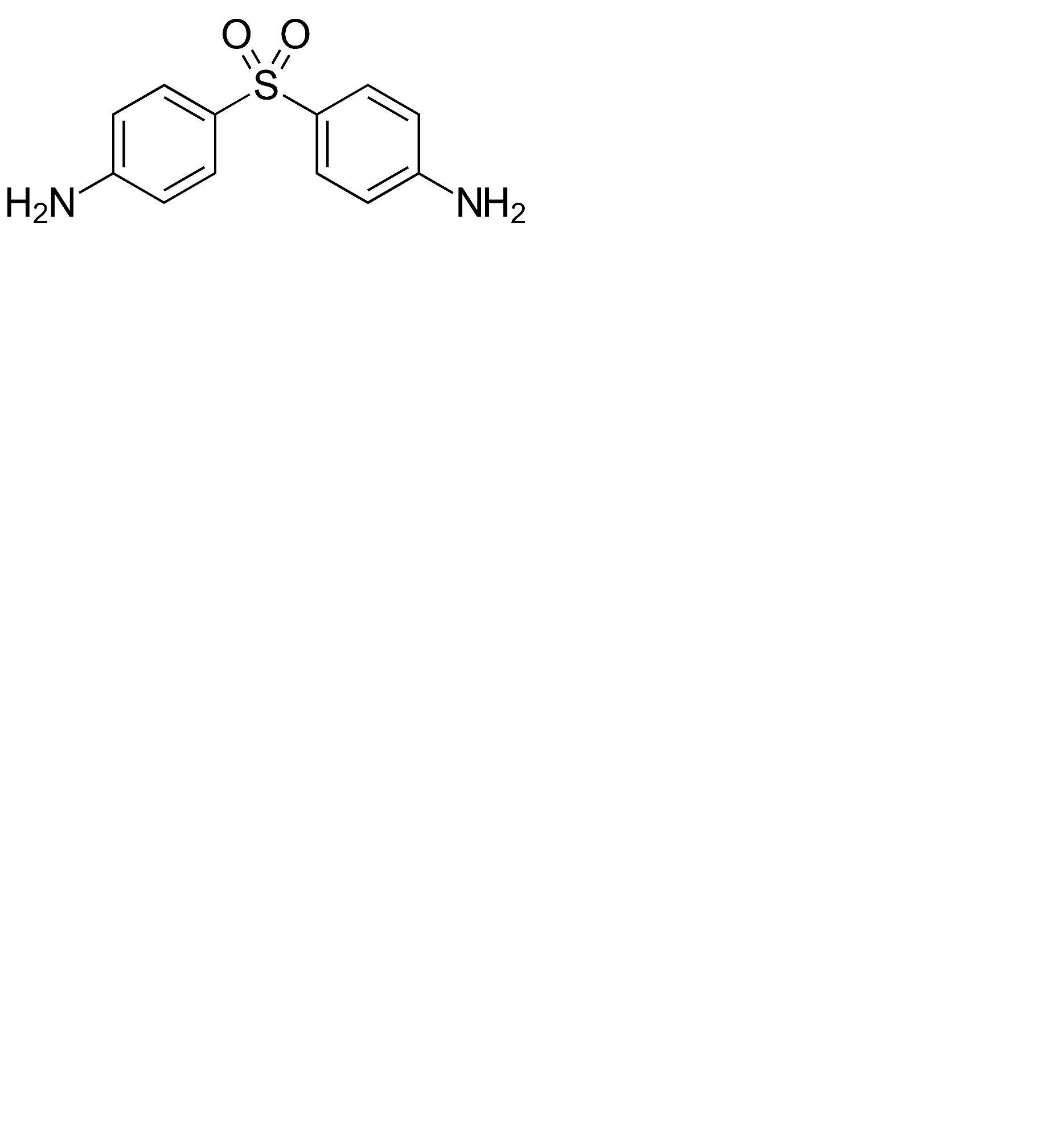
   Estructura química  

Preparaciones tópicas
La estabilidad de las preparaciones farmacéuticas   Preparaciones tópicas   La estabilidad de las preparaciones farmacéuticas : Dapsone     
Envase Origine Excipiente Temperatura Conservación Duración de la estabilidad Bibliografía
Botella de plástico Polvo 2000 mg
® = ?
Cleoderm® >> 40 g
15-30°C A cubierto de la luz
180 Día
4879
Botella de plástico Polvo 4000 mg
® = ?
Cleoderm® >> 40 g
15-30°C A cubierto de la luz
180 Día
4879

  Mentions Légales