zadnja posodobitev :
05/12/2025
Antibiotik   Dapsone  
Mazila
Peroralna raztopina
Stabilnost farmacevtskih preparatov Stabilnost mešanice Faktorji, ki vplivajo na stabilnost Kompatibilnost Viri pdf
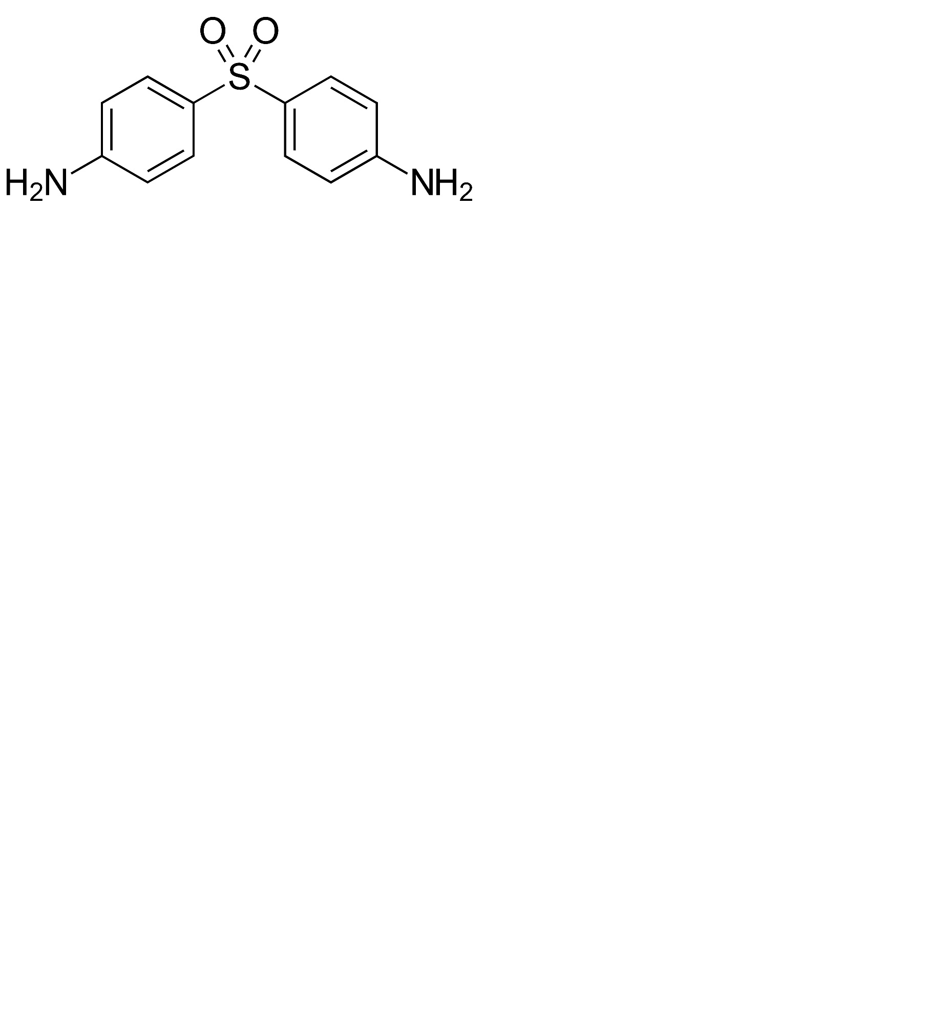
   Kemična formula  

Mazila
Stabilnost farmacevtskih preparatov   Mazila   Stabilnost farmacevtskih preparatov : Dapsone     
Vsebnik Origine Ekscipient Temperatura Shranjevanje Trajanje stabilnosti Viri
Plastenka Prašek 2000 mg
® = ?
Cleoderm® >> 40 g
15-30°C Zaščiteno pred svetlobo
180 Dan
4879
Plastenka Prašek 4000 mg
® = ?
Cleoderm® >> 40 g
15-30°C Zaščiteno pred svetlobo
180 Dan
4879

  Mentions Légales