Pēdējā atjaunošana :
18/03/2026
Antibiotika   Dapsone  
Ziedes
Orāls šķīdums
Stabilitāte farmaceitisko preparātu Maisījuma stabilitāte Stabilitāti ietekmējoši faktori Saderība Literatūras saraksts pdf
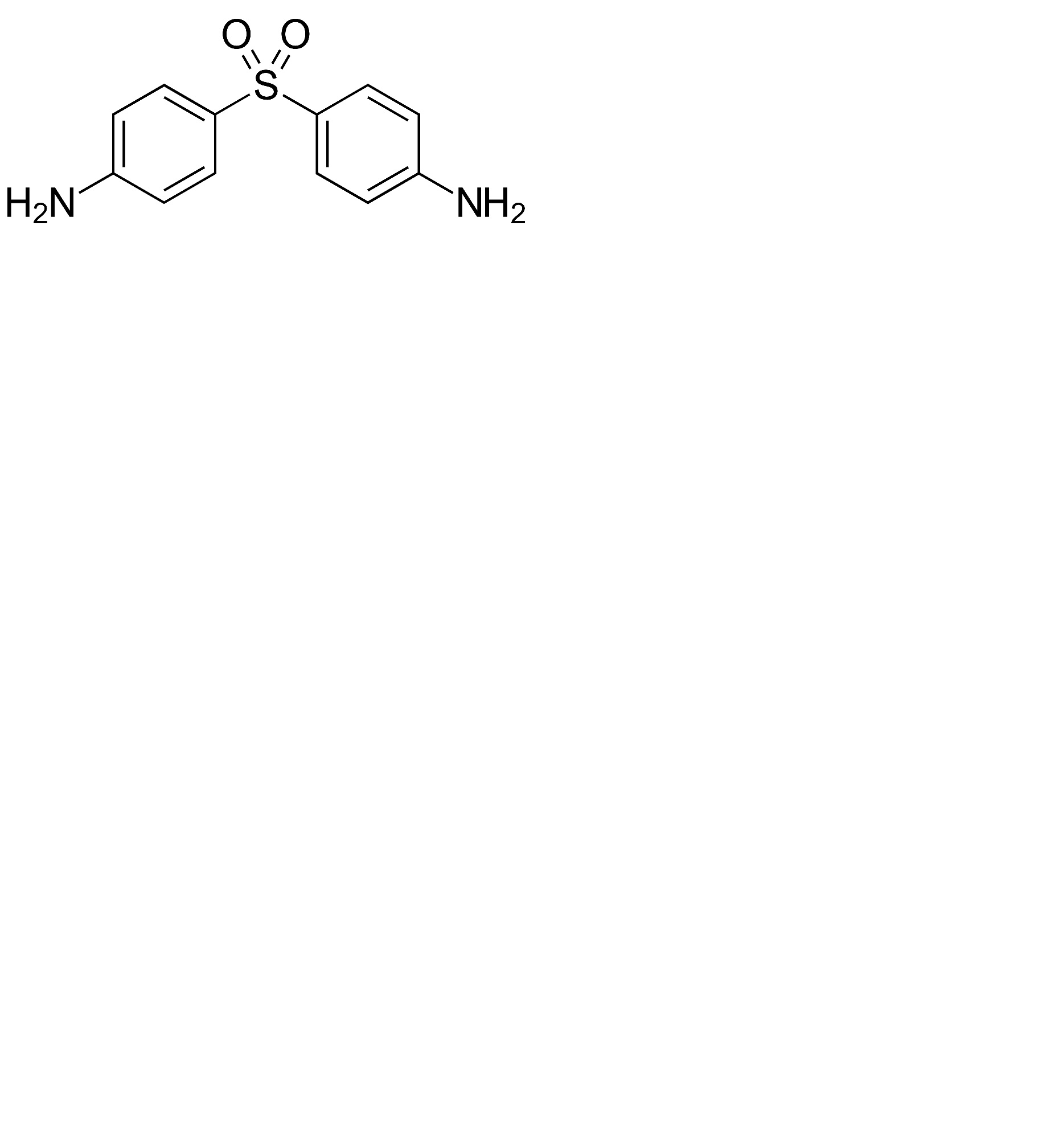
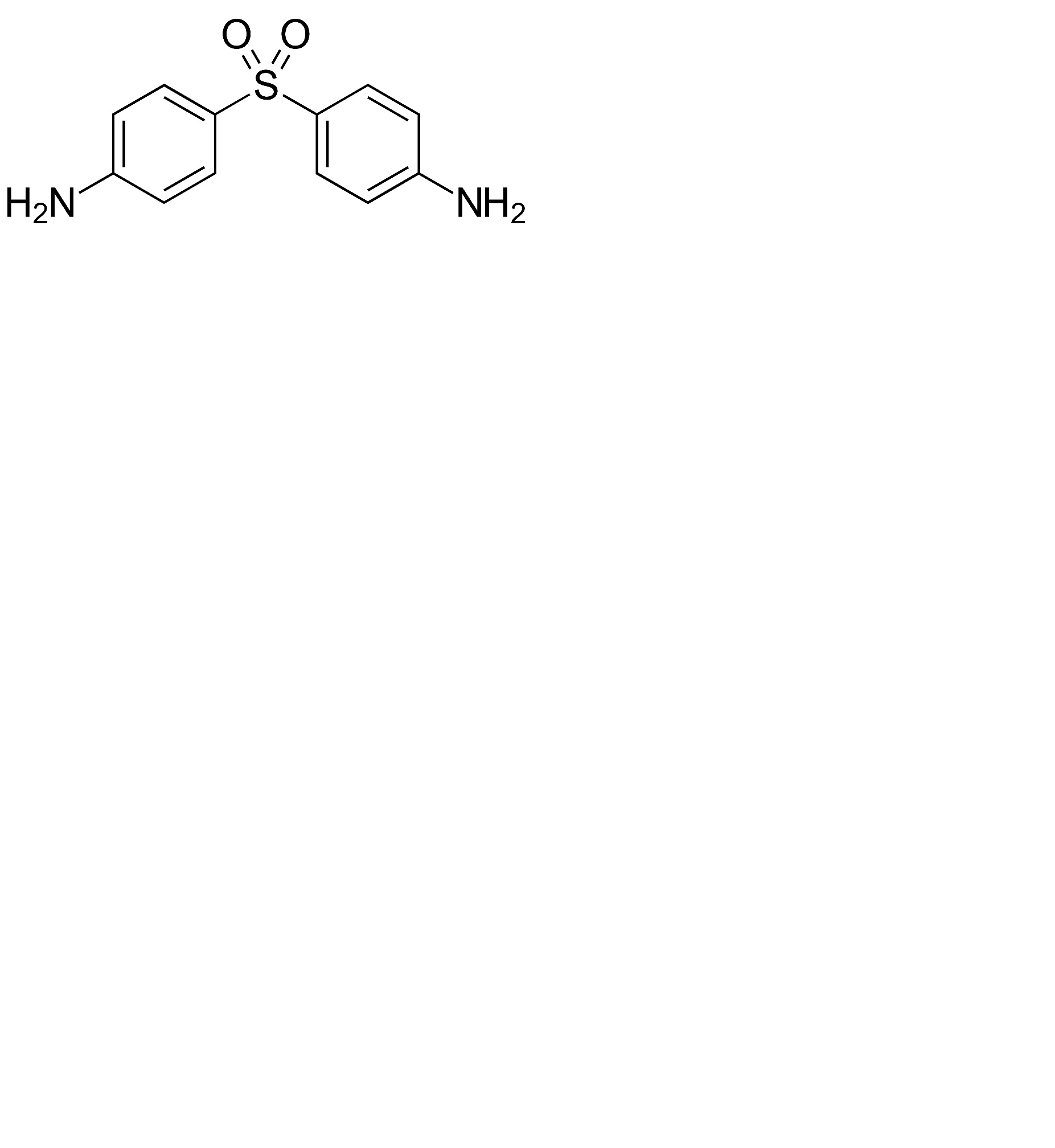
   Ķīmiskā uzbūve   

Ziedes
Stabilitāte farmaceitisko preparātu   Ziedes   Stabilitāte farmaceitisko preparātu : Dapsone     
Iepakojums Origine Palīgviela Temperatūra Glabāšana Stabilitātes ilgums Literatūras saraksts
Plastmasas pudele Pūderis 2000 mg
® = ?
Cleoderm® >> 40 g
15-30°C Aizsargāt no gaismas
180 Diena
4879
Plastmasas pudele Pūderis 4000 mg
® = ?
Cleoderm® >> 40 g
15-30°C Aizsargāt no gaismas
180 Diena
4879

  Mentions Légales