Ultimele actualizari :
27/11/2025
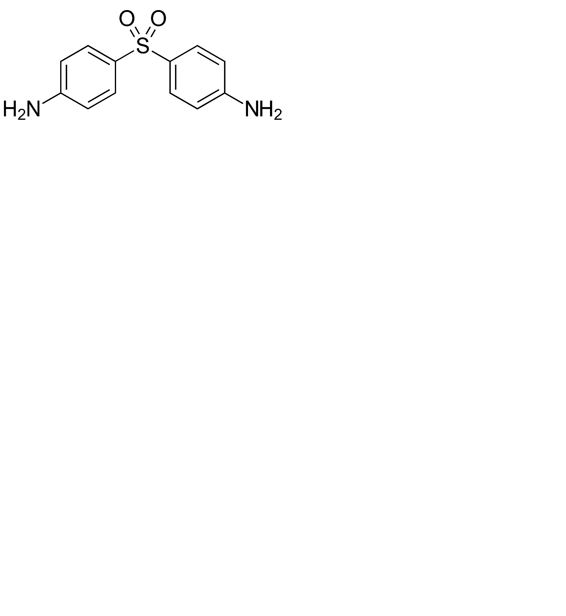
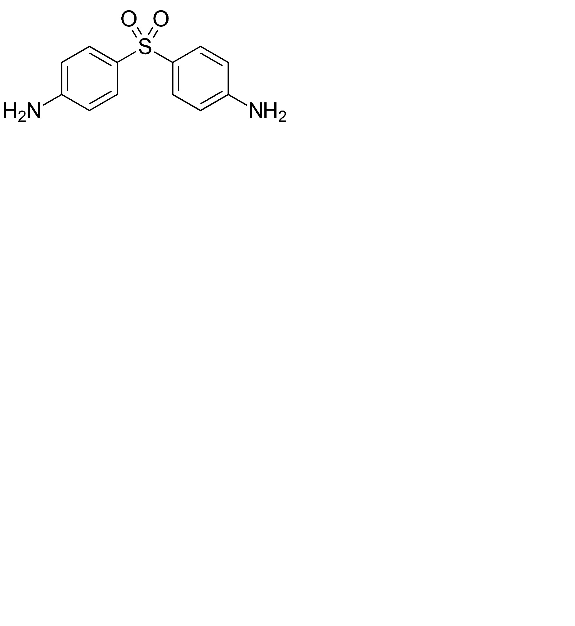
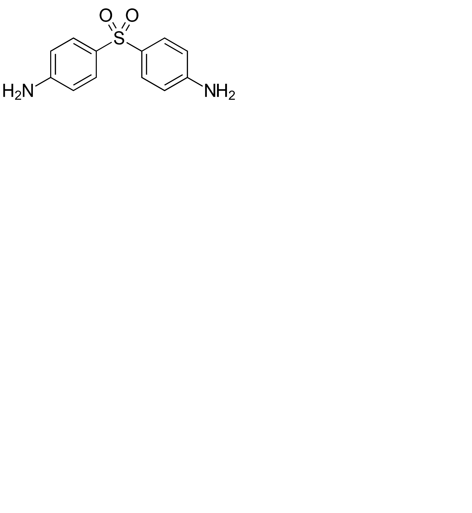
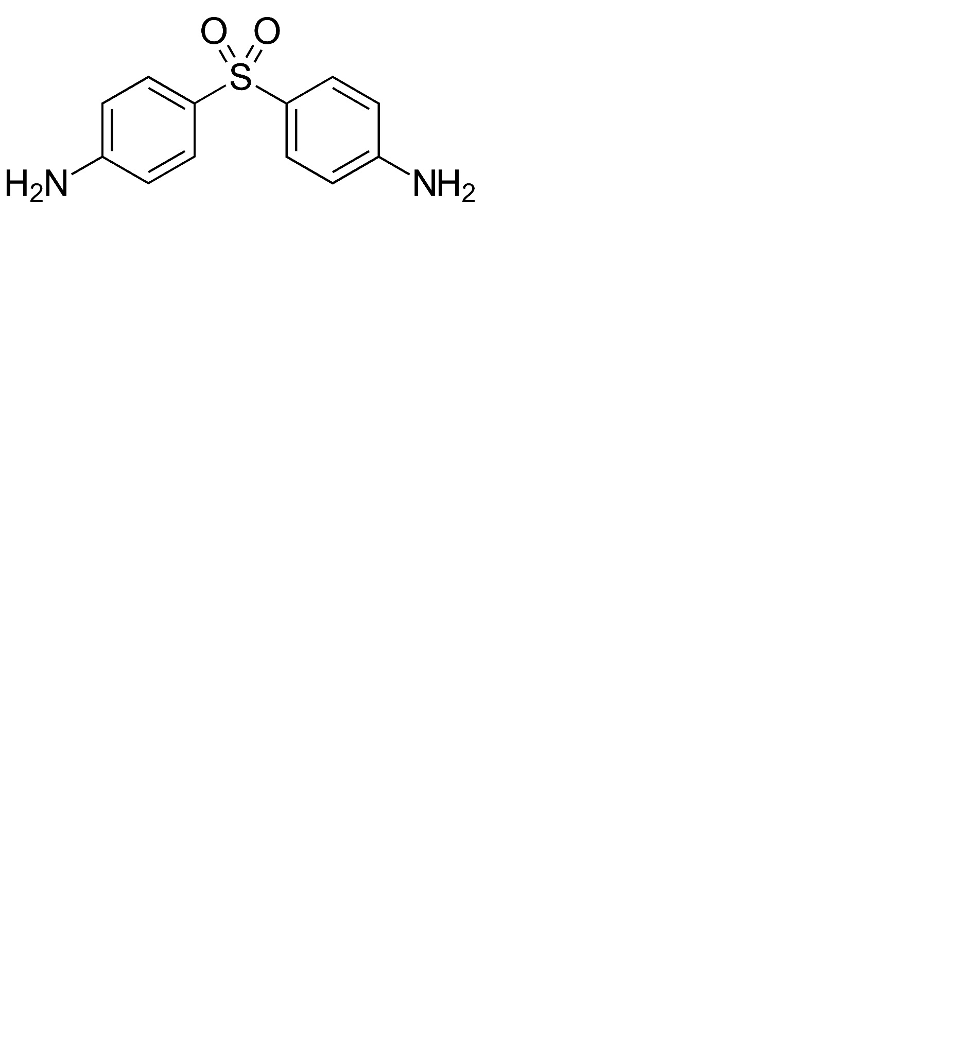
Antibiotic   Dapsone  
Unguente
Soluţie orală
Stabilitatea preparatelor farmaceutice Stabilitatea in amestec Factorii care influenteaza stabilitatea Compatibilitate Bibliografie pdf
   Formula chimica  

Unguente
Stabilitatea preparatelor farmaceutice   Unguente   Stabilitatea preparatelor farmaceutice : Dapsone     
Continut Origine Excipient Temperatura Conservare Durata stabilității Bibiografie
Sticla din plastic praf 2000 mg
® = ?
Cleoderm® >> 40 g
15-30°C Ferit de lumina
180 Ziua
4879
Sticla din plastic praf 4000 mg
® = ?
Cleoderm® >> 40 g
15-30°C Ferit de lumina
180 Ziua
4879

  Mentions Légales