最新更新 :
27/11/2025
Infostab
药品清单
简要表
搜索兼容性
Y 站点兼容性表
引用文献
研究小組
valistab
海报
鏈接
贊助商
作者
使用指南
时讯
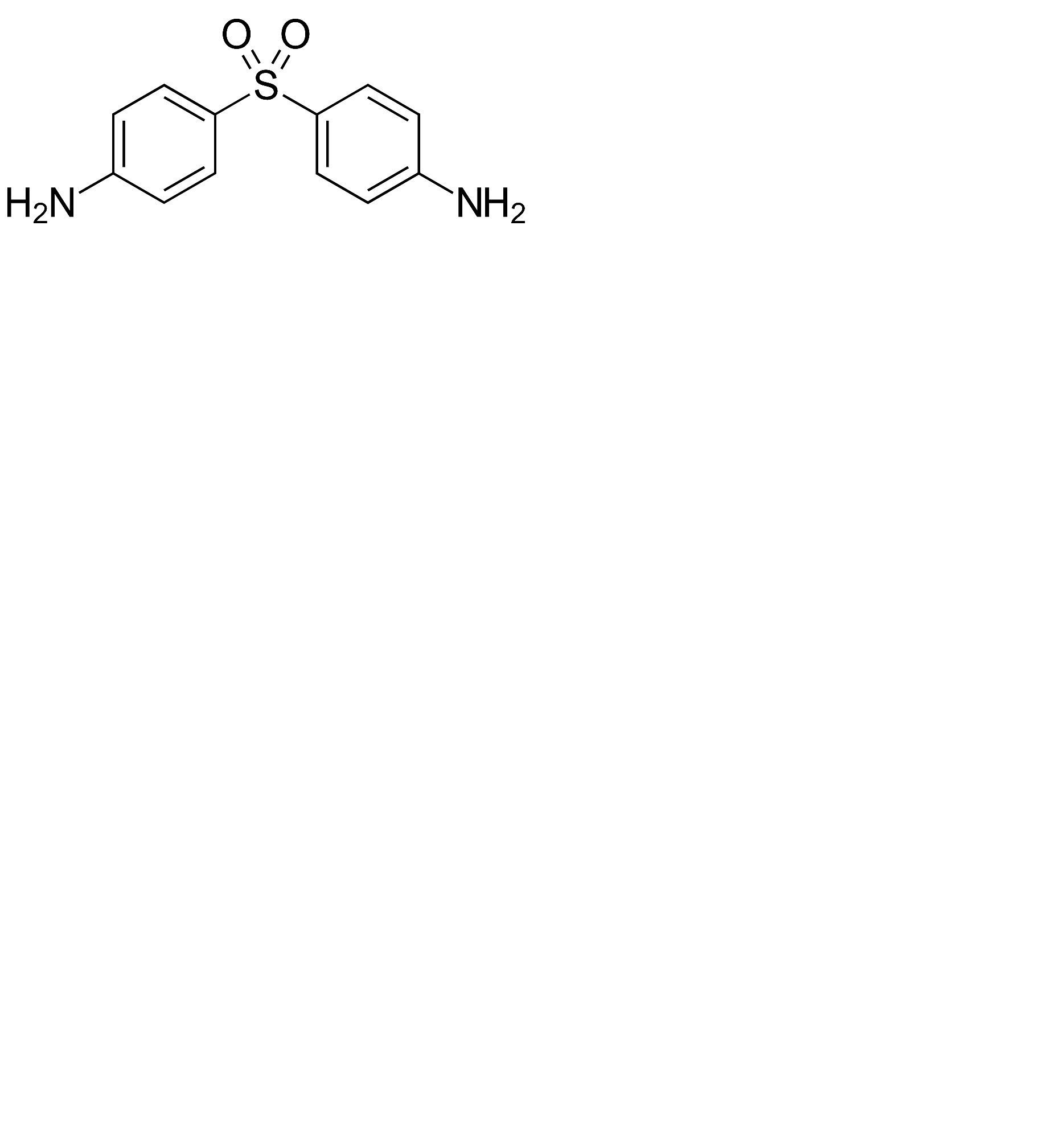
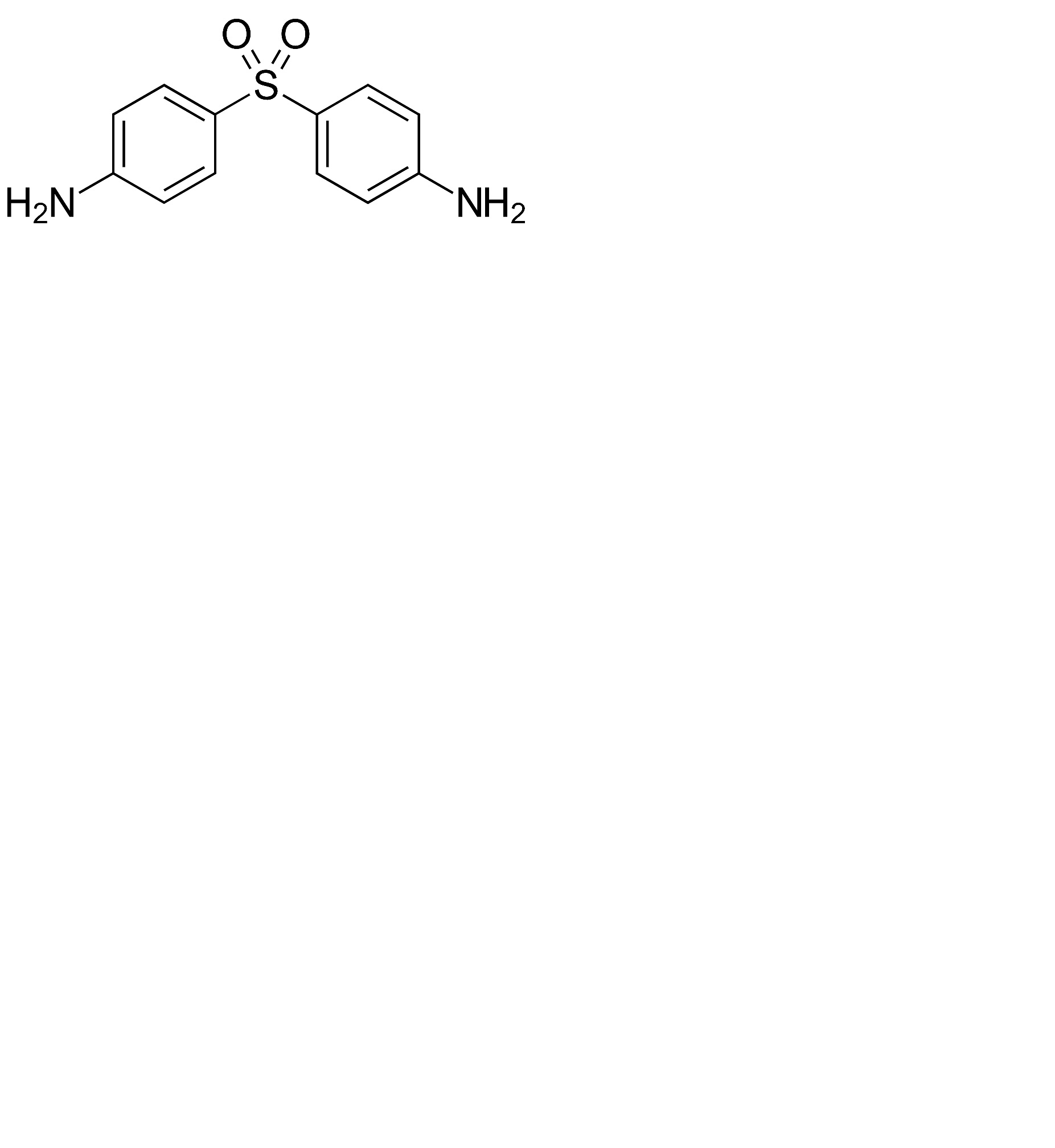
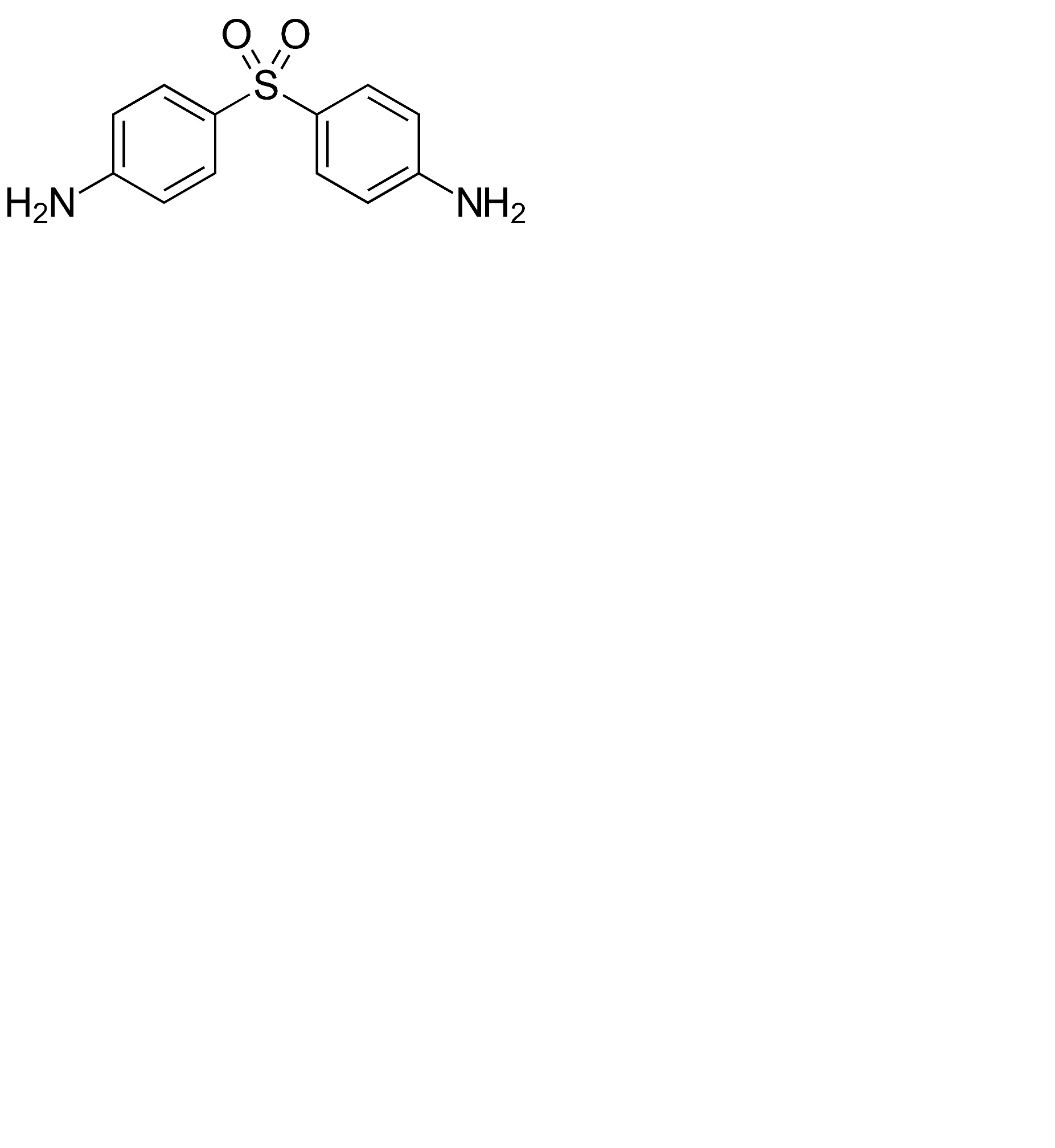
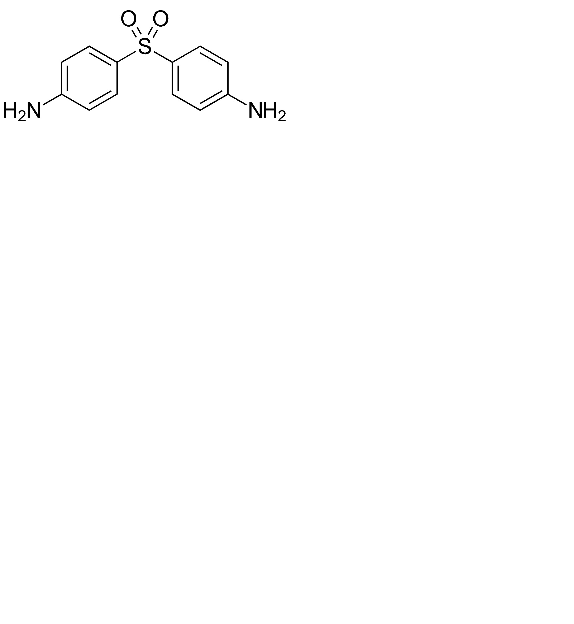
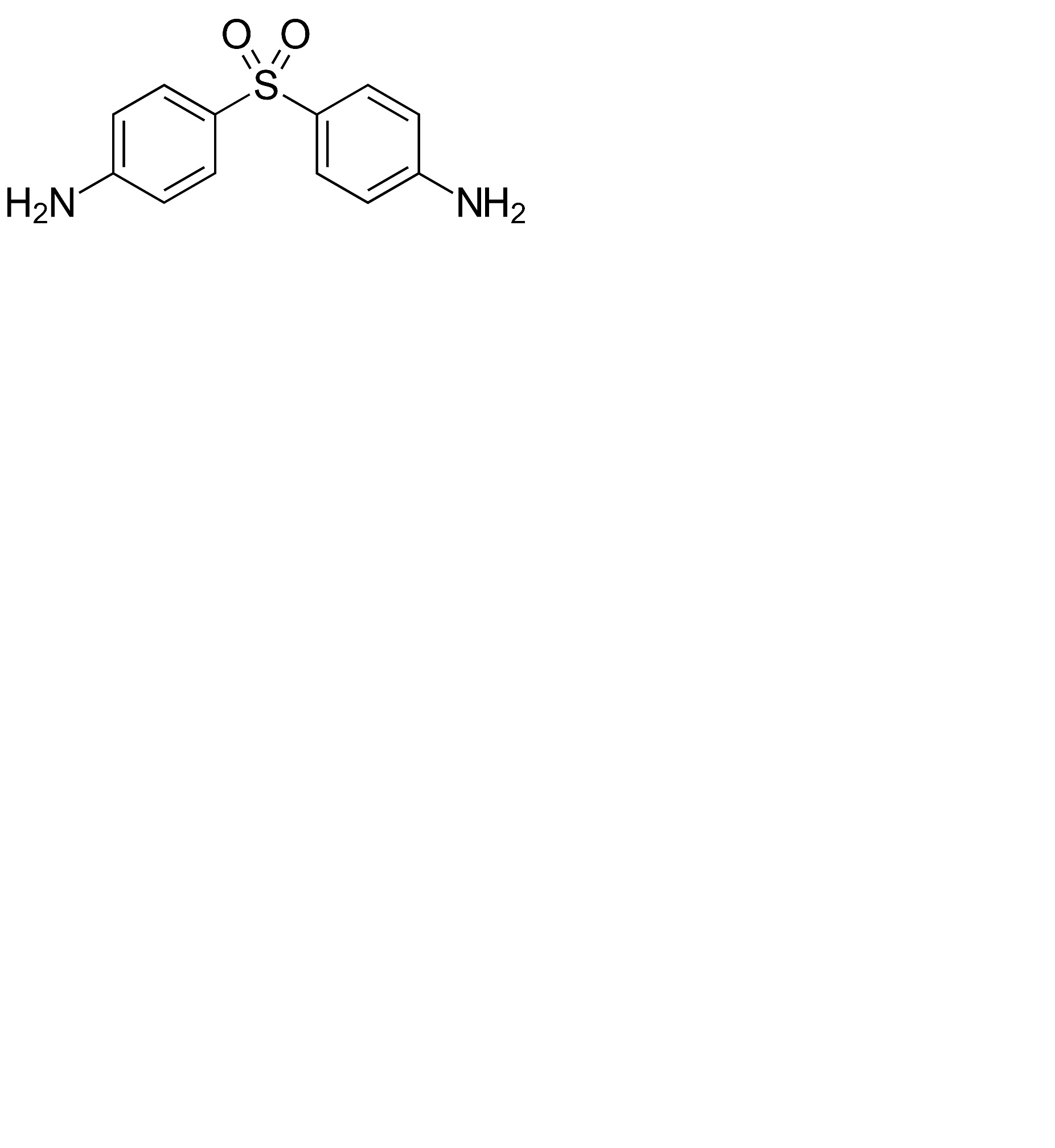
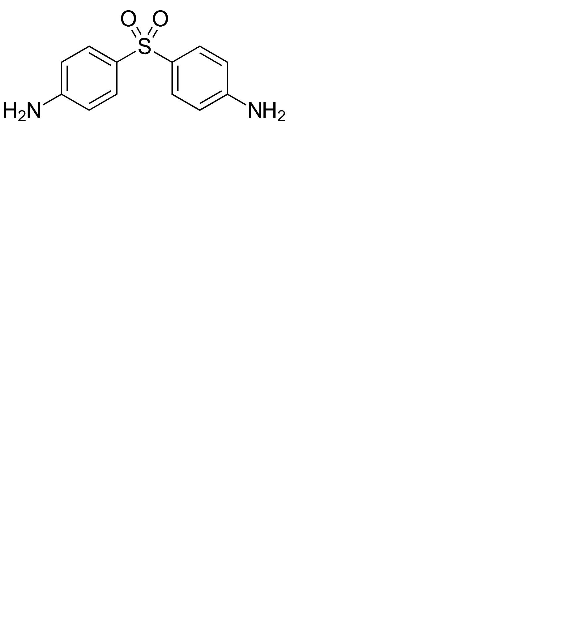
Dapsone
化学式
制剂的稳定性 : Dapsone
2000 mg
® = ?
Cleoderm®
>> 40 g
15-30°C
180
4879
4000 mg
® = ?
Cleoderm®
>> 40 g
15-30°C
180
4879
Mentions Légales