Poslední aktualizace :
27/11/2025
Antibiotikas   Dapsone  
Tepalai
Geriamas tirpalas
Stabilumas farmacinių preparatų Mišinių stabilumas Stabilumą lemiantys veiksniai Suderinamumas Bibliografija pdf
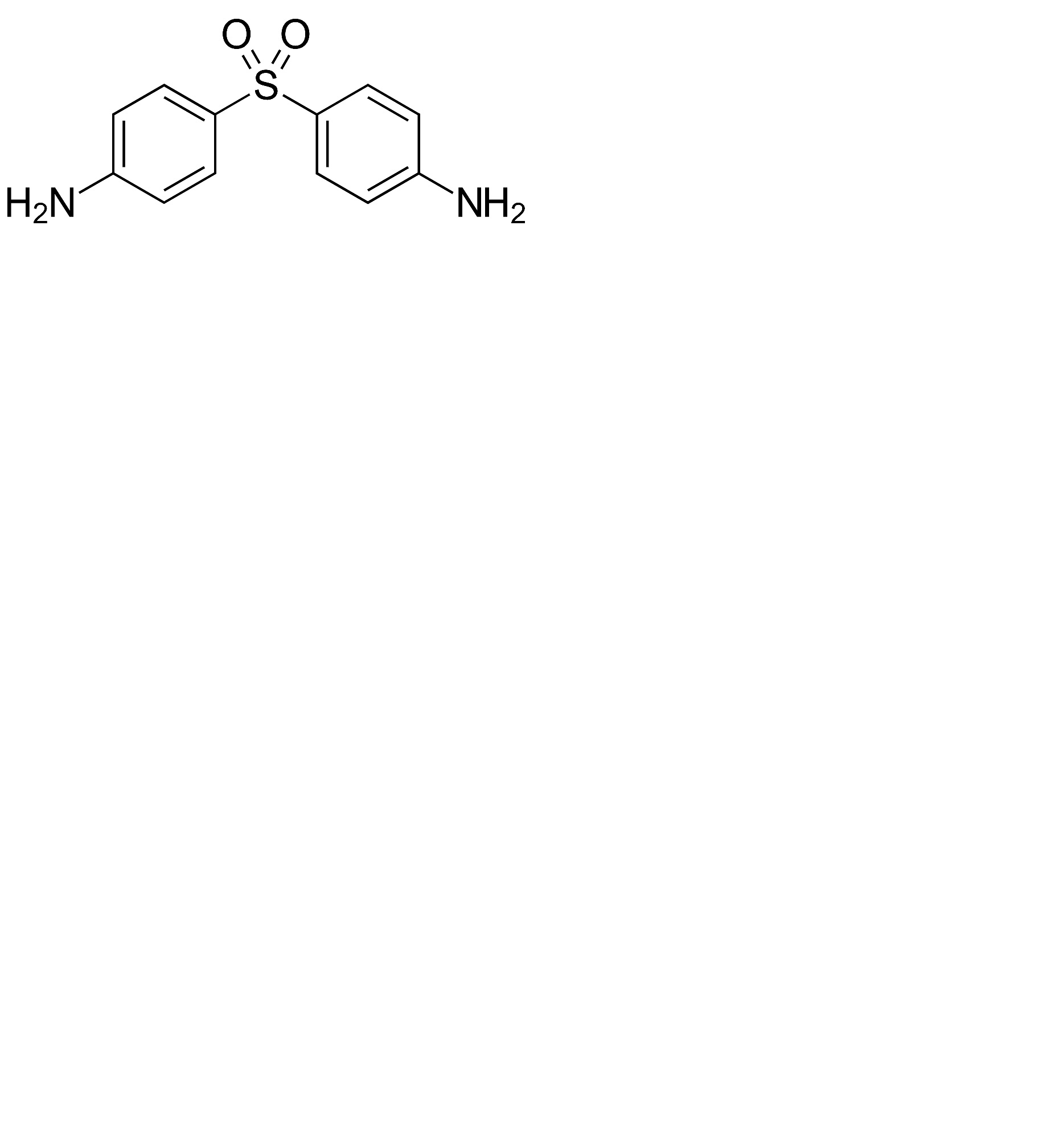
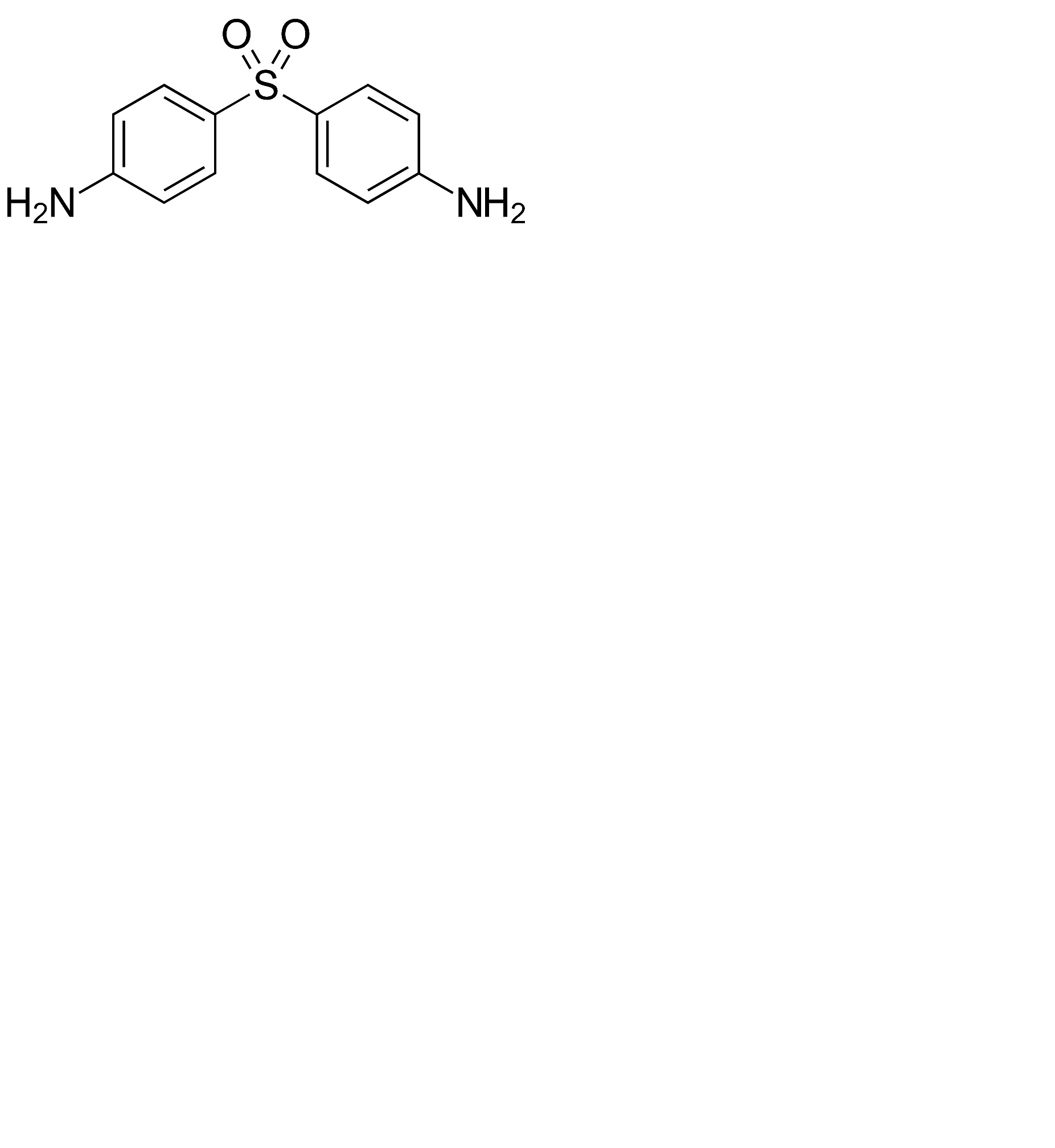
   Cheminė sandara  

Tepalai
Stabilumas farmacinių preparatų   Tepalai   Stabilumas farmacinių preparatų : Dapsone     
Pakuotė Origine Ekscipientas Temperatūra Laikymas Stabilumo trukmė Nuorodos
Plastikinis butelis Milteliai 2000 mg
® = ?
Cleoderm® >> 40 g
15-30°C Apsaugotas nuo šviesos
180 Diena
4879
Plastikinis butelis Milteliai 4000 mg
® = ?
Cleoderm® >> 40 g
15-30°C Apsaugotas nuo šviesos
180 Diena
4879

  Mentions Légales