Ultimo aggiornamento :
27/11/2025
Antibiotico   Dapsone  
Unguenti
Soluzione orale
Stabilità dei preparati farmaceutici Stabilità in miscela Fattori che influenzano la stabilità Compatibilità Bibliografia pdf
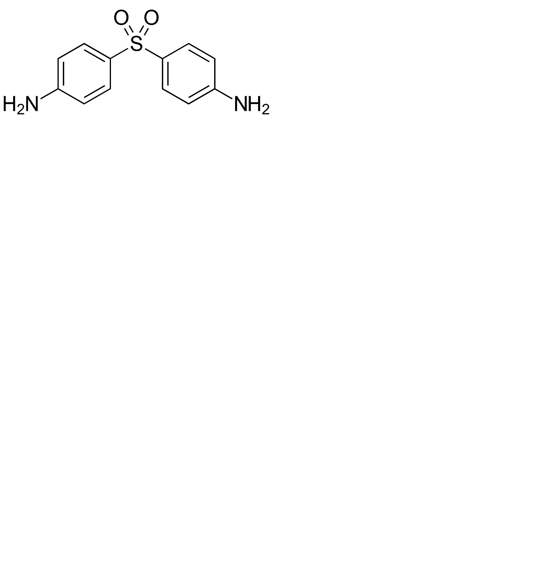
   Struttura chimica  

Unguenti
Stabilità dei preparati farmaceutici   Unguenti   Stabilità dei preparati farmaceutici : Dapsone     
contenitore Origine eccipiente Temperatura Conservazione Durata della stabilità Bibliografia
bottiglia di plastica polvere 2000 mg
® = ?
Cleoderm® >> 40 g
15-30°C Al riparo dalla luce
180 Giorno
4879
bottiglia di plastica polvere 4000 mg
® = ?
Cleoderm® >> 40 g
15-30°C Al riparo dalla luce
180 Giorno
4879

  Mentions Légales