Son güncelleme :
27/11/2025
Glukoz düşürücü   Sitagliptine phosphate  
Oral solüsyon / oral çözelti
Farmasötik preparatlar Kararlılığı Karışımlardaki stabilitesi Stabiliteyi etkileyen faktörler Uyumluluk Kaynaklar pdf
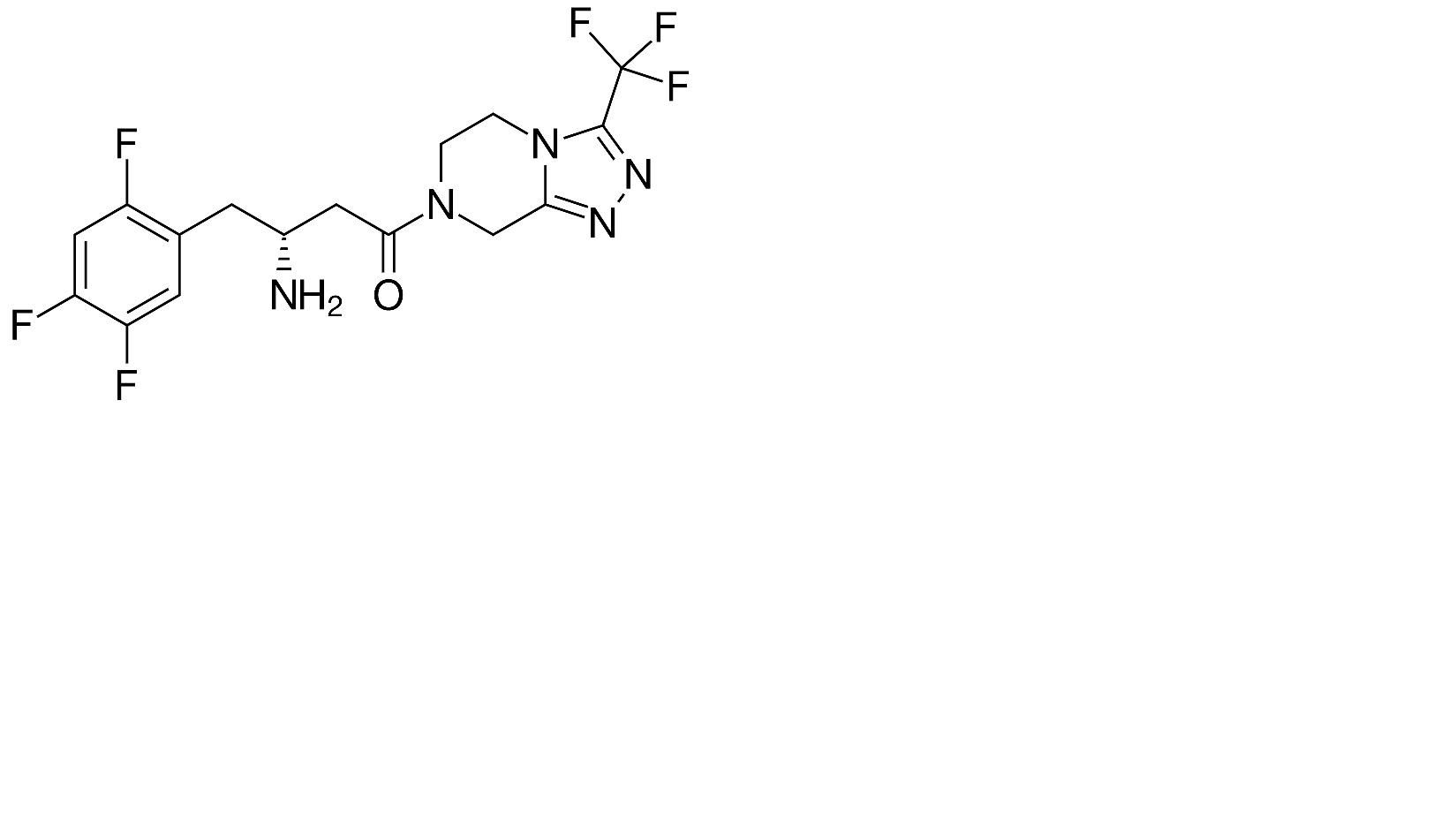
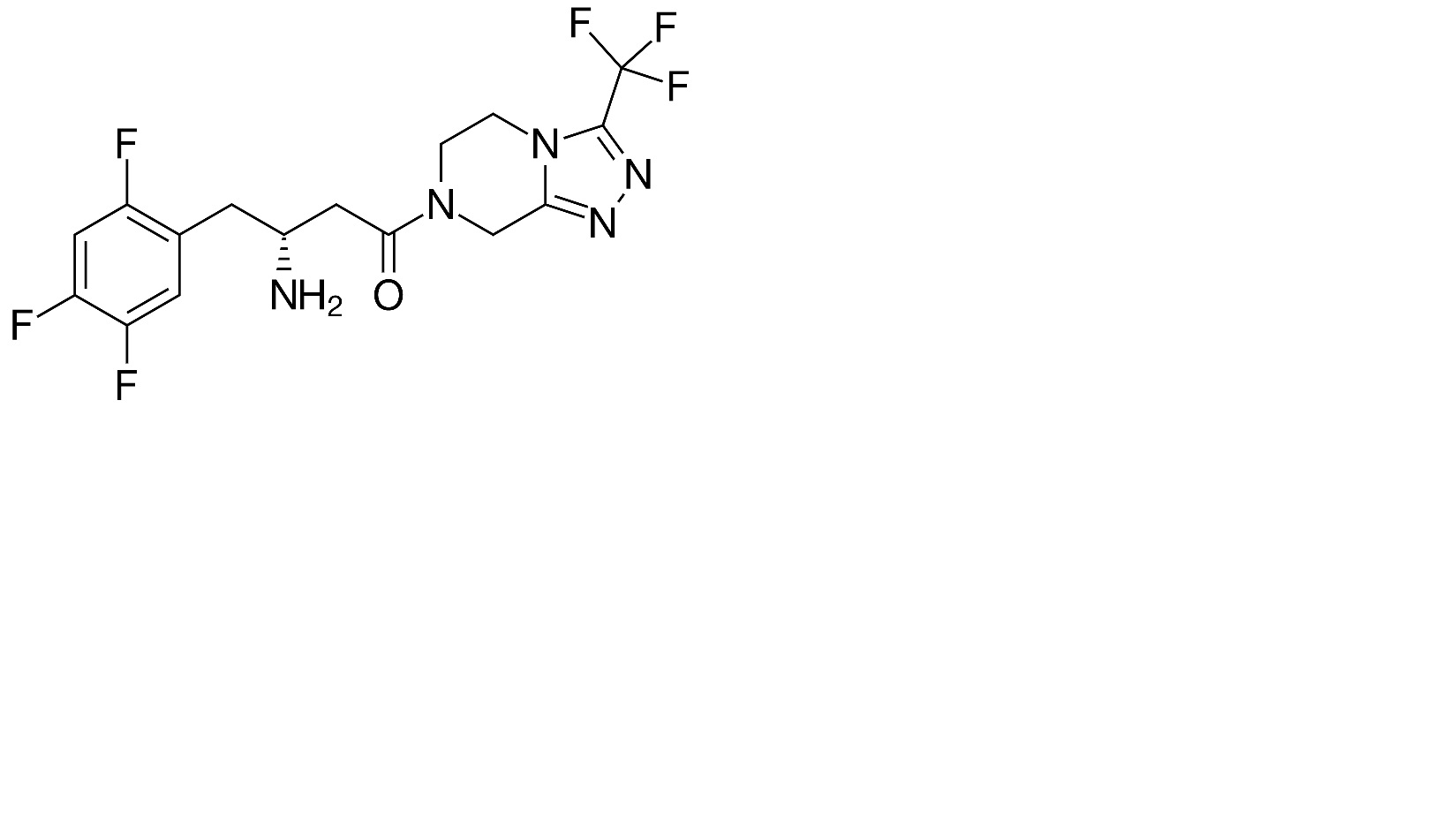
   Kimyasal yapı   

Oral solüsyon / oral çözelti
Farmasötik preparatlar Kararlılığı   Oral solüsyon / oral çözelti   Farmasötik preparatlar Kararlılığı : Sitagliptine phosphate     
Saklama kabı Origine yardımcı madde Isı Saklama    Stabilite süresi Kaynaklar
Plastik şişe Toz 1 g
® = ?
Sorbitol 21,9 mL
Mannitol 2,2 g
Çilek aroması 625 mg
Arıtılmış su >> 100 mL
22-28°C Belirtilmemiş
40 Gün
4679
Plastik şişe Toz 1 g
® = ?
Sorbitol 21,9 mL
Mannitol 2,2 g
Çilek aroması 625 mg
Arıtılmış su >> 100 mL
40°C Belirtilmemiş
40 Gün
4679

  Mentions Légales