Laatste update :
27/11/2025
Bloedglucoseverlagend middel   Sitagliptine phosphate  
Orale Oplossing
Stabiliteit van farmaceutische preparaten Stabiliteit in mengsels Factoren die de stabiliteit beïnvloeden Verenigbaarheden Literatuur pdf
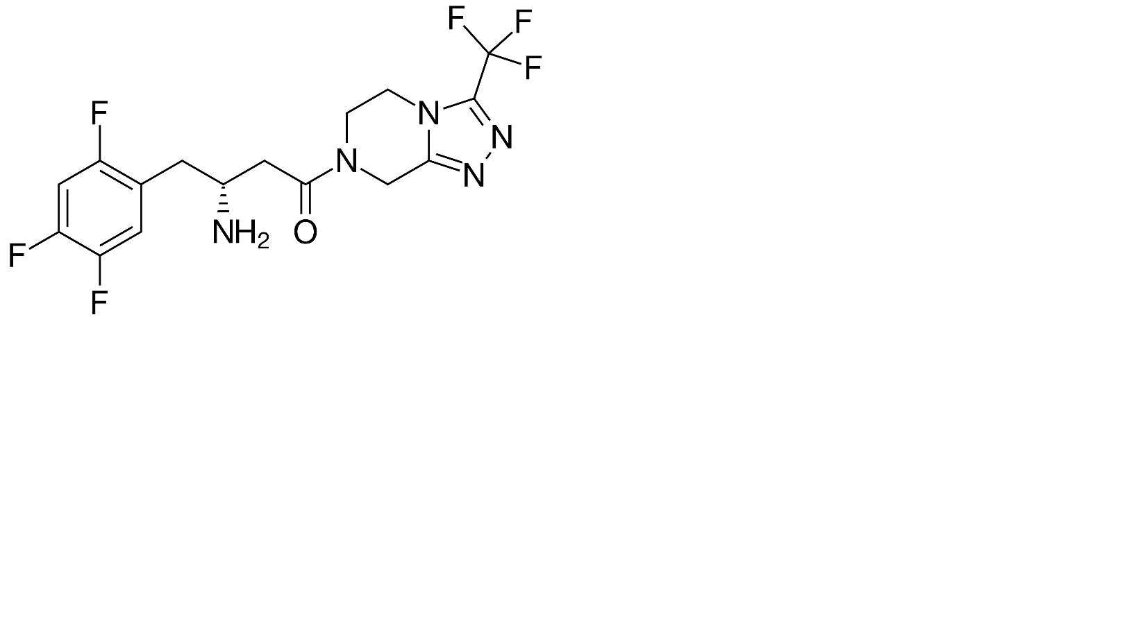
   Molecuulstructuur  

Orale Oplossing
Stabiliteit van farmaceutische preparaten   Orale Oplossing   Stabiliteit van farmaceutische preparaten : Sitagliptine phosphate     
Verpakking Origine  ikˈsipēənt hulpstof Temperatuur Bewaring Duur van de stabiliteit Literatuur
plastic fles poeder 1 g
® = ?
sorbitol 21,9 mL
mannitol 2,2 g
aardbeiensmaak 625 mg
gezuiverd water >> 100 mL
22-28°C Niet gespecificeerd
40 Dag
4679
plastic fles poeder 1 g
® = ?
sorbitol 21,9 mL
mannitol 2,2 g
aardbeiensmaak 625 mg
gezuiverd water >> 100 mL
40°C Niet gespecificeerd
40 Dag
4679

  Mentions Légales