Ostatnia aktualizacja :
18/03/2026
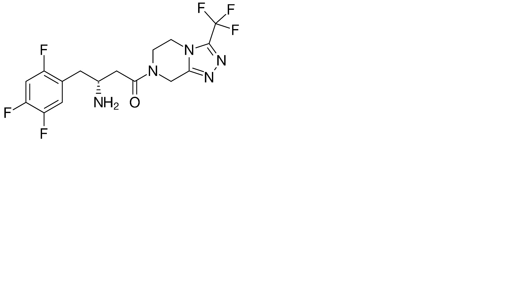
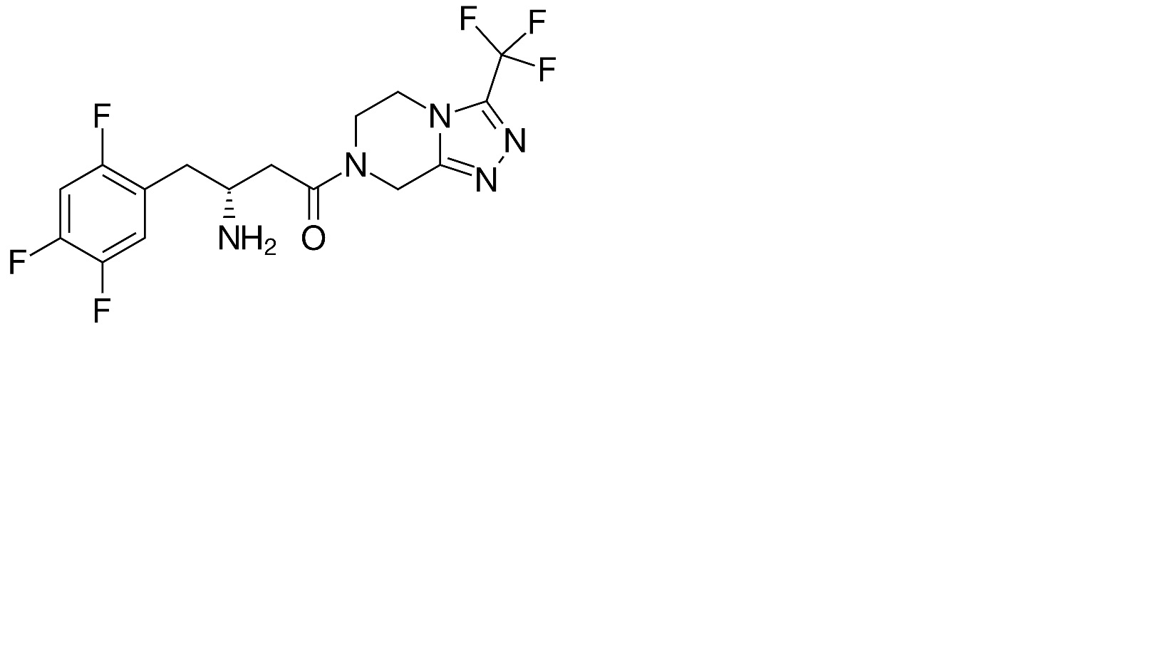
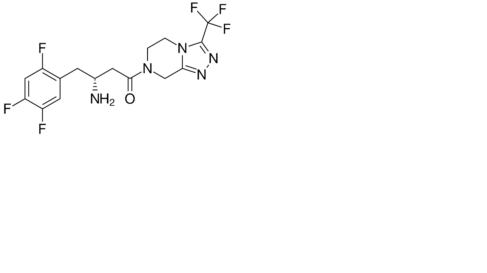
Lek obniżający poziom cukru   Sitagliptine phosphate  
Roztwór doustny
Stabilność preparatów farmaceutycznych Trwałość w mieszaninie Czynnik wpływający na trwałość Zgodność Bibliografia pdf
   Struktura chemiczna  

Roztwór doustny
Stabilność preparatów farmaceutycznych   Roztwór doustny   Stabilność preparatów farmaceutycznych : Sitagliptine phosphate     
Pojemnik Origine Substancja pomocniczna Temperatura Przechowywanie Czas trwania stabilności Bibliografia
Butelka plastikowa Proszek 1 g
® = ?
sorbitol 21,9 mL
mannitol 2,2 g
aromat truskawkowy 625 mg
Woda oczyszczona >> 100 mL
22-28°C Nie wyszczególniony
40 Dzień
4679
Butelka plastikowa Proszek 1 g
® = ?
sorbitol 21,9 mL
mannitol 2,2 g
aromat truskawkowy 625 mg
Woda oczyszczona >> 100 mL
40°C Nie wyszczególniony
40 Dzień
4679

  Mentions Légales