Ultimele actualizari :
27/11/2025
Hipoglicemiant   Sitagliptine phosphate  
Soluţie orală
Stabilitatea preparatelor farmaceutice Stabilitatea in amestec Factorii care influenteaza stabilitatea Compatibilitate Bibliografie pdf
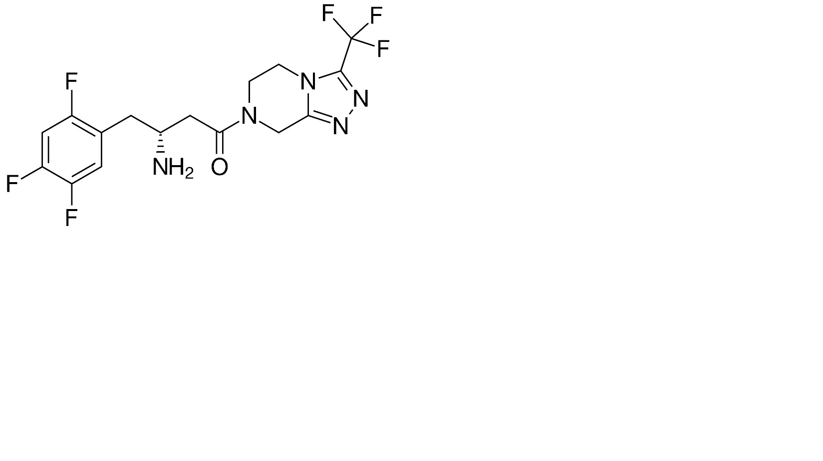
   Formula chimica  

Soluţie orală
Stabilitatea preparatelor farmaceutice   Soluţie orală   Stabilitatea preparatelor farmaceutice : Sitagliptine phosphate     
Continut Origine Excipient Temperatura Conservare Durata stabilității Bibiografie
Sticla din plastic praf 1 g
® = ?
sorbitol 21,9 mL
manitol 2,2 g
aromă de căpşuni 625 mg
Apă purificată >> 100 mL
22-28°C Neprecizat
40 Ziua
4679
Sticla din plastic praf 1 g
® = ?
sorbitol 21,9 mL
manitol 2,2 g
aromă de căpşuni 625 mg
Apă purificată >> 100 mL
40°C Neprecizat
40 Ziua
4679

  Mentions Légales