Pēdējā atjaunošana :
27/11/2025
Hipoglikēmijas izraisošs līdzeklis   Sitagliptine phosphate  
Orāls šķīdums
Stabilitāte farmaceitisko preparātu Maisījuma stabilitāte Stabilitāti ietekmējoši faktori Saderība Literatūras saraksts pdf
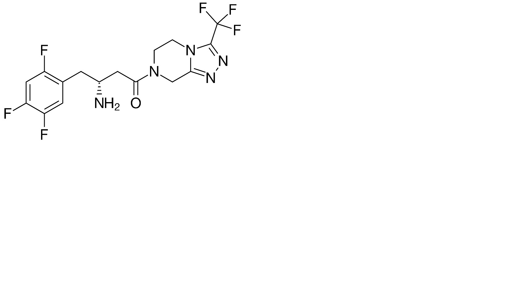
   Ķīmiskā uzbūve   

Orāls šķīdums
Stabilitāte farmaceitisko preparātu   Orāls šķīdums   Stabilitāte farmaceitisko preparātu : Sitagliptine phosphate     
Iepakojums Origine Palīgviela Temperatūra Glabāšana Stabilitātes ilgums Literatūras saraksts
Plastmasas pudele Pūderis 1 g
® = ?
Sorbitols 21,9 mL
Mannitols 2,2 g
Zemeņu garša 625 mg
Attīrīts ūdens >> 100 mL
22-28°C Nav specifisks
40 Diena
4679
Plastmasas pudele Pūderis 1 g
® = ?
Sorbitols 21,9 mL
Mannitols 2,2 g
Zemeņu garša 625 mg
Attīrīts ūdens >> 100 mL
40°C Nav specifisks
40 Diena
4679

  Mentions Légales