Последно актуализиране :
18/03/2026
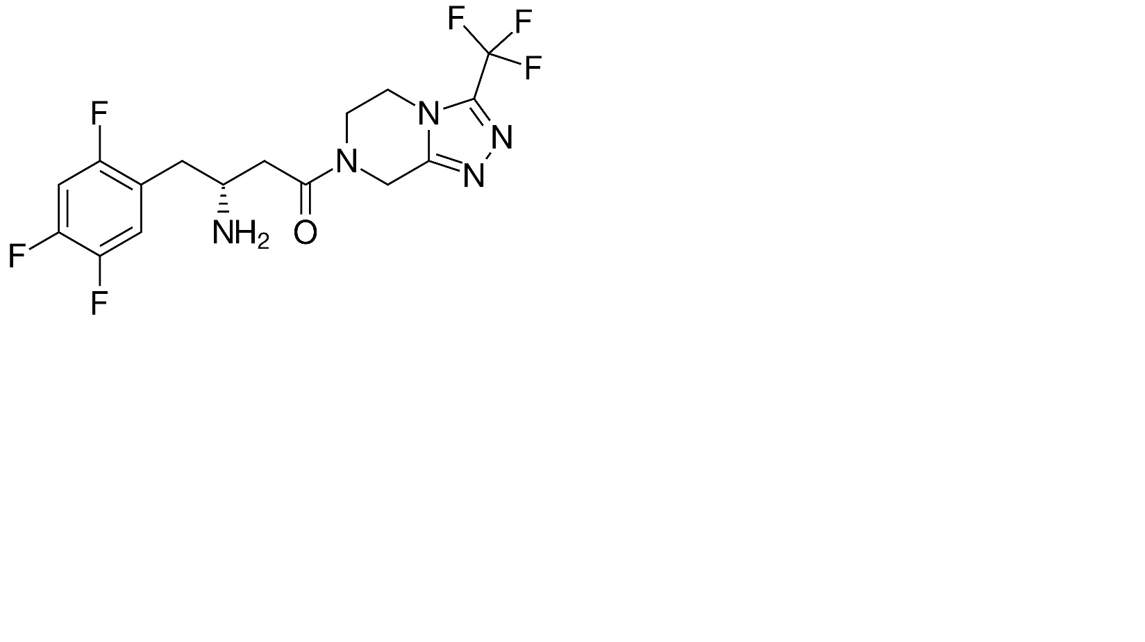
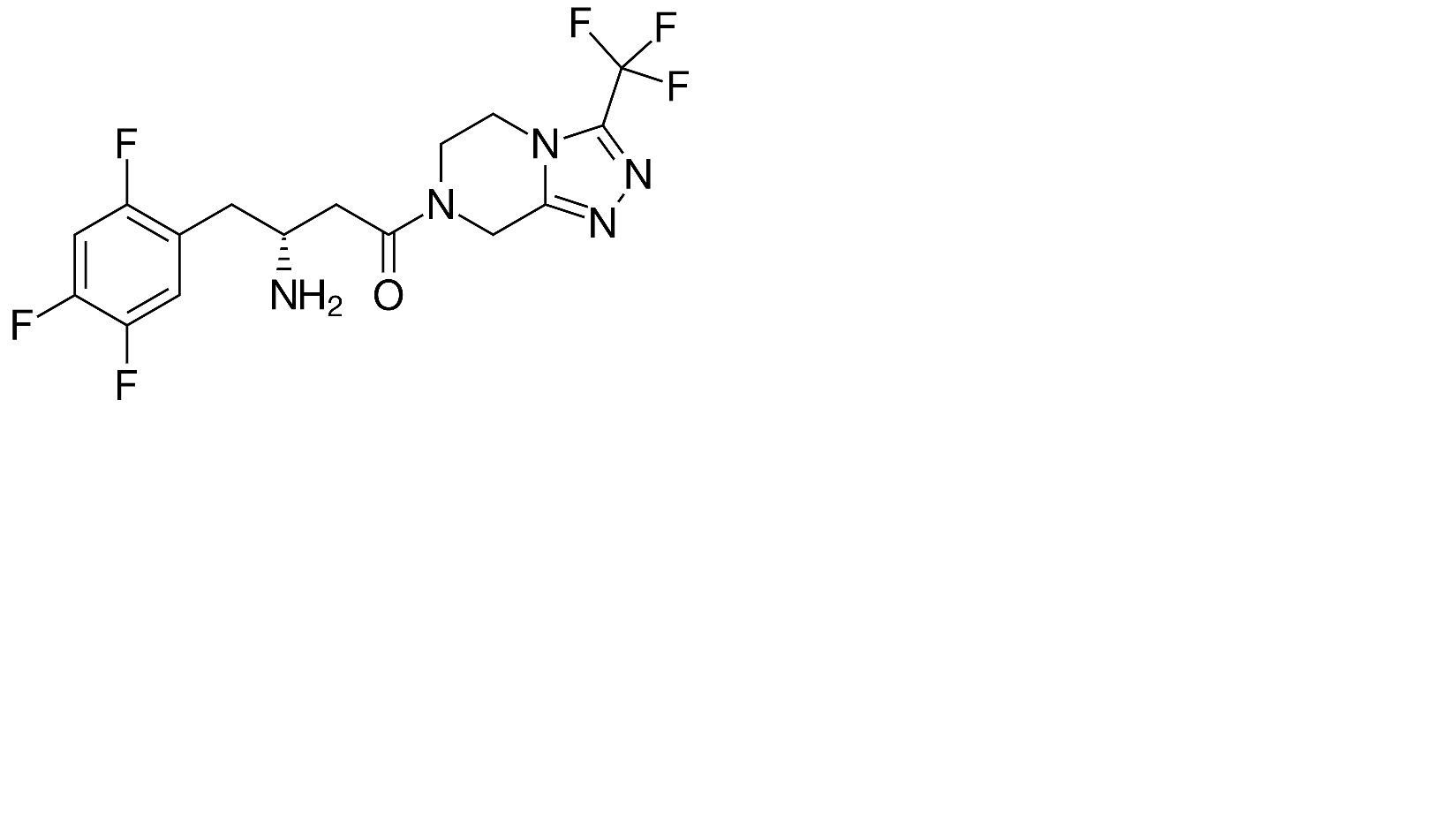
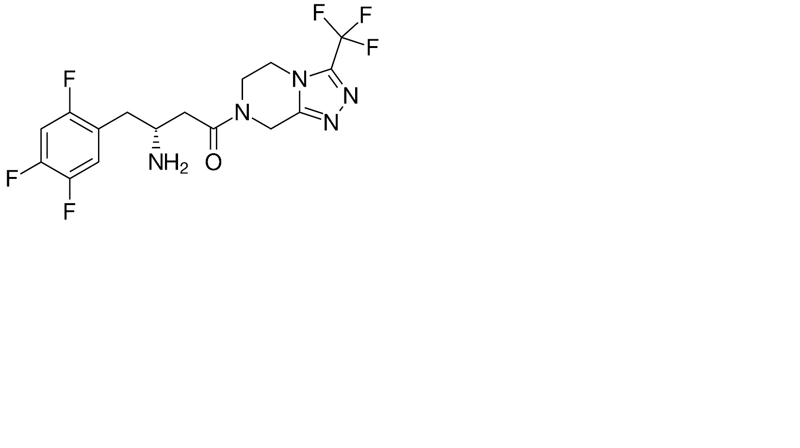
Хипогликемичен агент   Sitagliptine phosphate  
Орален разтвор
Стабилност на лекарствени препарати Стабилност на смеси Фактори, повлияващи стабилността Съвместимост Библиография Pdf
   Химична структура  

Орален разтвор
Стабилност на лекарствени препарати   Орален разтвор   Стабилност на лекарствени препарати : Sitagliptine phosphate     
Контейнер Origine Помощно вещество Температура Съхранение Продължителност на стабилността Библиография
Пластмасова бутилка Прах 1 g
® = ?
Сорбитол 21,9 mL
Манитол 2,2 g
Ягодов вкус 625 mg
Пречистена вода >> 100 mL
22-28°C Не е уточнено
40 Ден
4679
Пластмасова бутилка Прах 1 g
® = ?
Сорбитол 21,9 mL
Манитол 2,2 g
Ягодов вкус 625 mg
Пречистена вода >> 100 mL
40°C Не е уточнено
40 Ден
4679

  Mentions Légales