Cập nhật lần cuối :
21/04/2026
Thuốc hạ đường huyết   Sitagliptine phosphate  
Dung dịch uống
Tính ổn định của các chế phẩm Độ ổn định khi trộn lẫn Những yếu tố ảnh hưởng đến độ ổn định Khả năng tương thích Tài liệu tham khảo Pdf
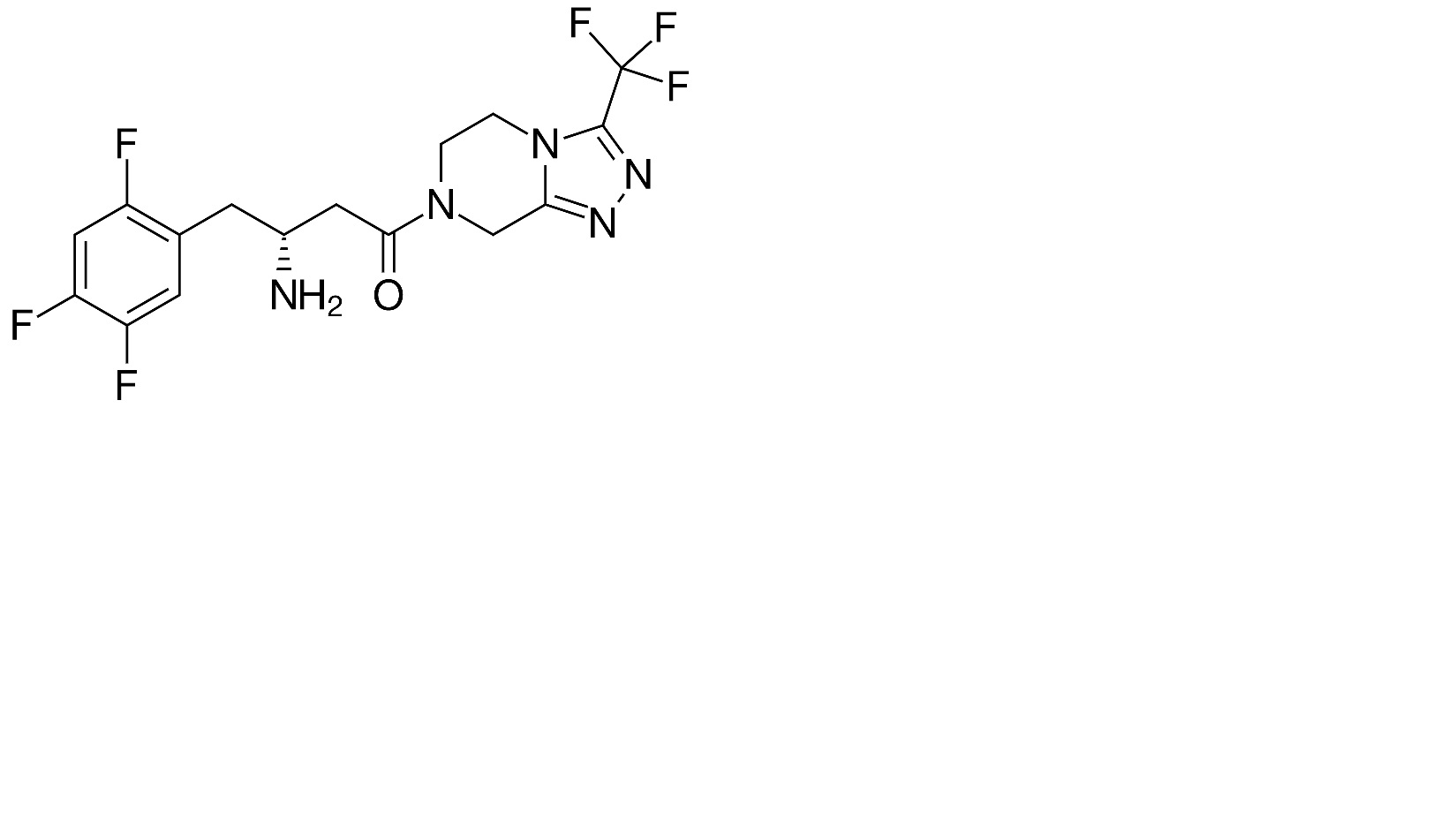
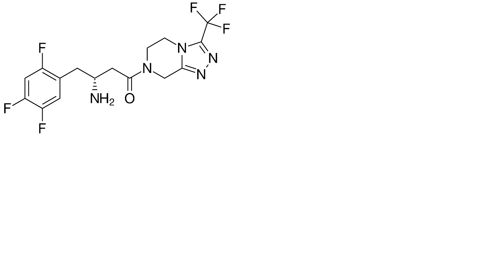
   Cấu trúc hóa học  

Dung dịch uống
Tính ổn định của các chế phẩm   Dung dịch uống   Tính ổn định của các chế phẩm : Sitagliptine phosphate     
Bao bì Nguyên bản Tá dược Nhiệt độ Bảo quản Thời gian ổn định Mục lục
Lọ nhựa Bột 1 g
® = ?
Sorbitol 21,9 mL
Mannitol 2,2 g
Hương dâu 625 mg
Nước tinh khiết >> 100 mL
22-28°C Không rõ
40 Ngày
4679
Lọ nhựa Bột 1 g
® = ?
Sorbitol 21,9 mL
Mannitol 2,2 g
Hương dâu 625 mg
Nước tinh khiết >> 100 mL
40°C Không rõ
40 Ngày
4679

  Mentions Légales