Cập nhật lần cuối :
18/03/2026
Thuốc giãn mạch   Ambrisentan  
Dung dịch uống
Tính ổn định của các chế phẩm Độ ổn định khi trộn lẫn Những yếu tố ảnh hưởng đến độ ổn định Khả năng tương thích Tài liệu tham khảo Pdf
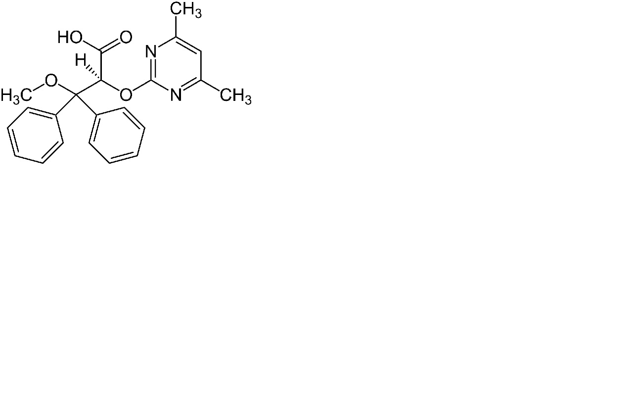
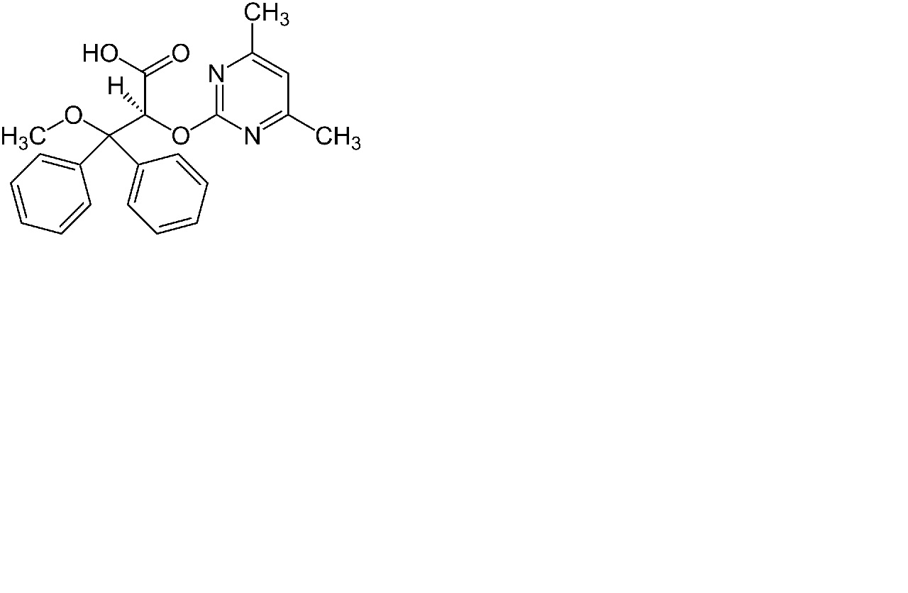
   Cấu trúc hóa học  

Dung dịch uống
Tính ổn định của các chế phẩm   Dung dịch uống   Tính ổn định của các chế phẩm : Ambrisentan     
Bao bì Nguyên bản Tá dược Nhiệt độ Bảo quản Thời gian ổn định Mục lục
Lọ nhựa Các viên nén 30 mg
® = Gilead Sciences
Glycerin 2,5 mL
OraPlus® 15 mL
Orasweet ® 12,5 mL
21-27°C Tránh ánh sáng
90 Ngày
4560
Cấp độ bằng chứng D

Lọ nhựa Các viên nén 30 mg
® = Gilead Sciences
Glycerin 2,5 mL
OraPlus® 15 mL
Orasweet ® 12,5 mL
3,2-4,8°C Tránh ánh sáng
90 Ngày
4560
Cấp độ bằng chứng D


  Mentions Légales