Última actualización :
27/11/2025
Vasodilatador   Ambrisentan  
Solución Oral
La estabilidad de las preparaciones farmacéuticas Estabilidad en mezcla Factores que influyen sobre la estabilidad Compatibilidades Bibliografía pdf
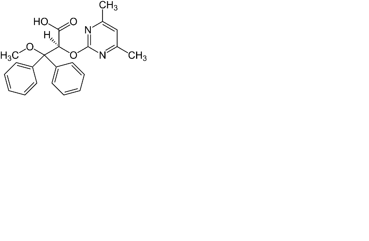
   Estructura química  

Solución Oral
La estabilidad de las preparaciones farmacéuticas   Solución Oral   La estabilidad de las preparaciones farmacéuticas : Ambrisentan     
Envase Origine Excipiente Temperatura Conservación Duración de la estabilidad Bibliografía
Botella de plástico Tabletas 30 mg
® = Gilead Sciences
Glicerina 2,5 mL
OraPlus® 15 mL
Orasweet® 12,5 mL
21-27°C A cubierto de la luz
90 Día
4560
Nivel de evidencia D

Botella de plástico Tabletas 30 mg
® = Gilead Sciences
Glicerina 2,5 mL
OraPlus® 15 mL
Orasweet® 12,5 mL
3,2-4,8°C A cubierto de la luz
90 Día
4560
Nivel de evidencia D


  Mentions Légales