Laatste update :
27/11/2025
Vaatverwijder   Ambrisentan  
Orale Oplossing
Stabiliteit van farmaceutische preparaten Stabiliteit in mengsels Factoren die de stabiliteit beïnvloeden Verenigbaarheden Literatuur pdf
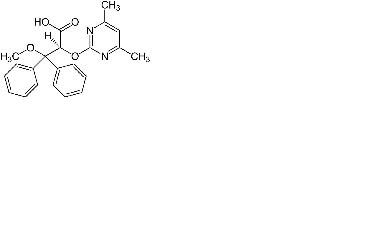
   Molecuulstructuur  

Orale Oplossing
Stabiliteit van farmaceutische preparaten   Orale Oplossing   Stabiliteit van farmaceutische preparaten : Ambrisentan     
Verpakking Origine  ikˈsipēənt hulpstof Temperatuur Bewaring Duur van de stabiliteit Literatuur
plastic fles tabletten 30 mg
® = Gilead Sciences
Glycerine 2,5 mL
OraPlus® 15 mL
Orasweet® 12,5 mL
21-27°C Buiten invloed van licht
90 Dag
4560
Bewijsniveau D

plastic fles tabletten 30 mg
® = Gilead Sciences
Glycerine 2,5 mL
OraPlus® 15 mL
Orasweet® 12,5 mL
3,2-4,8°C Buiten invloed van licht
90 Dag
4560
Bewijsniveau D


  Mentions Légales