آخر تحديث :
18/03/2026
Infostab
قائمة المركبات
ملخص القوائم
ابحث عن التوافق
جدول توافق موقع ص
مراجع
فرق البحث
valistab
الملصق
الروابط
الرعاة
الكتاب
دليل المستخدم
النشرة الإخبارية
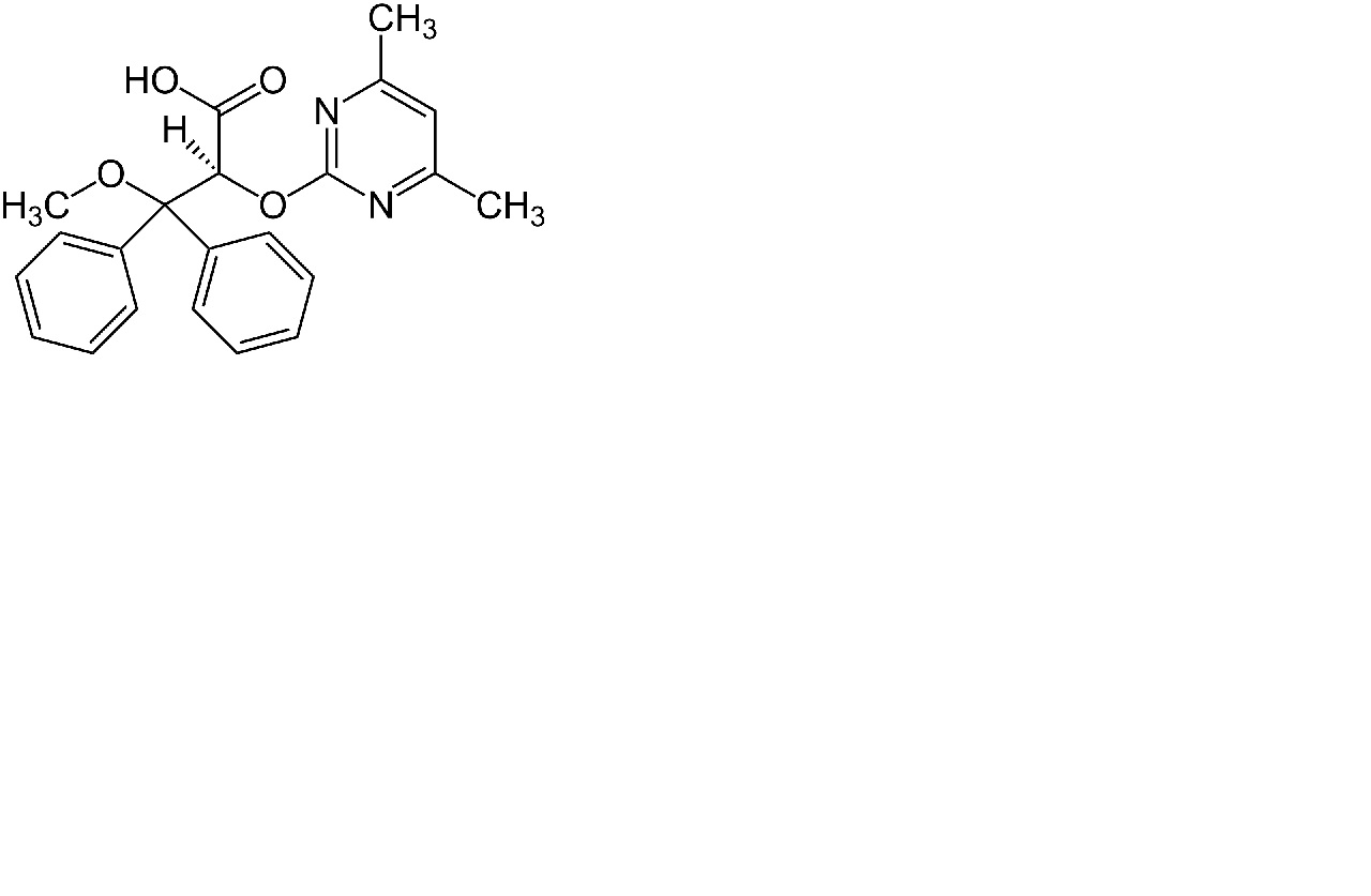
Ambrisentan
التركيب الكيميائي
استقرار المستحضرات الصيدلانية : Ambrisentan
30 mg
® = Gilead Sciences
الجلسرين
2,5 mL
OraPlus®
15 mL
Orasweet ®
12,5 mL
21-27°C
90
4560
30 mg
® = Gilead Sciences
الجلسرين
2,5 mL
OraPlus®
15 mL
Orasweet ®
12,5 mL
3,2-4,8°C
90
4560
Mentions Légales