Última actualização :
04/02/2026
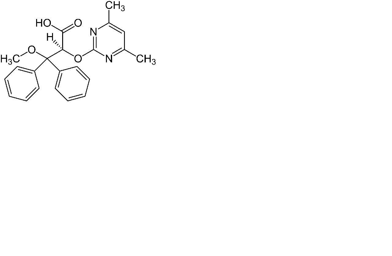
Vasodilatador   Ambrisentan  
Solução Oral
Estabilidade de preparações farmacêuticas Estabilidade em misturas Factores que afectam a sua estabilidade Compatibilidade Bibliografía pdf
   estrutura química  

Solução Oral
Estabilidade de preparações farmacêuticas   Solução Oral   Estabilidade de preparações farmacêuticas : Ambrisentan     
Embalagem Origine excipiente temperatura conservação Duração da estabilidade Bibliografia
frasco de plástico comprimidos 30 mg
® = Gilead Sciences
Glicerina 2,5 mL
OraPlus® 15 mL
Orasweet® 12,5 mL
21-27°C ao abrigo da luz
90 dia
4560
Nível de evidência D

frasco de plástico comprimidos 30 mg
® = Gilead Sciences
Glicerina 2,5 mL
OraPlus® 15 mL
Orasweet® 12,5 mL
3,2-4,8°C ao abrigo da luz
90 dia
4560
Nível de evidência D


  Mentions Légales