zadnja posodobitev :
18/03/2026
Infostab
Seznami
Seznami
Poiščite združljivosti
Tabela združljivosti Y-strani
Viri
raziskovalne skupine
valistab
poster
Povezave
sponzorji
Avtor
Navodilo za uporabo
Newsletter
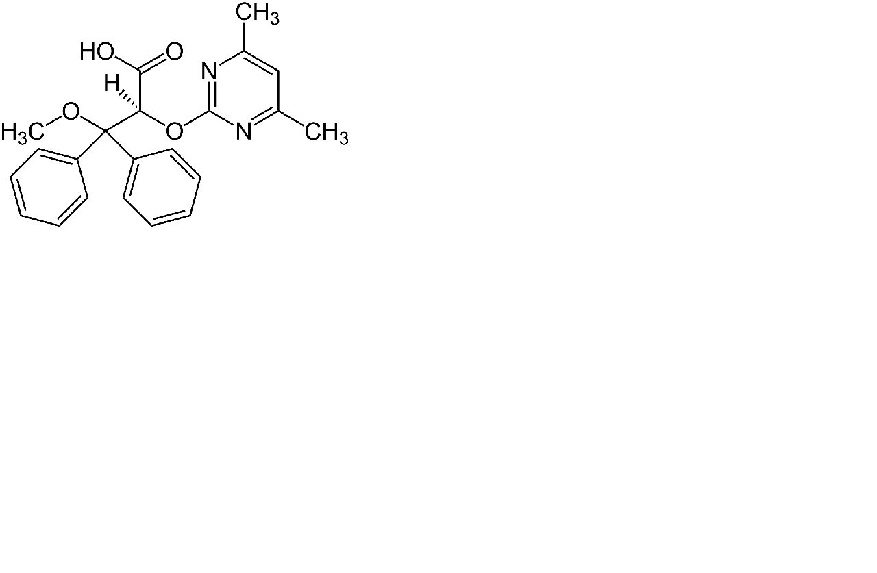
Ambrisentan
Kemična formula
Stabilnost farmacevtskih preparatov : Ambrisentan
30 mg
® = Gilead Sciences
Glicerin
2,5 mL
OraPlus®
15 mL
Orasweet®
12,5 mL
21-27°C
90
4560
30 mg
® = Gilead Sciences
Glicerin
2,5 mL
OraPlus®
15 mL
Orasweet®
12,5 mL
3,2-4,8°C
90
4560
Mentions Légales