Siste oppdatering :
18/03/2026
Vasodilatator   Ambrisentan  
Mikstur
Stabilitet av farmasøytiske preparater Stabilitet i blandinger Faktorer som påvirker stabiliteten Kompatibilitet Referanser pdf
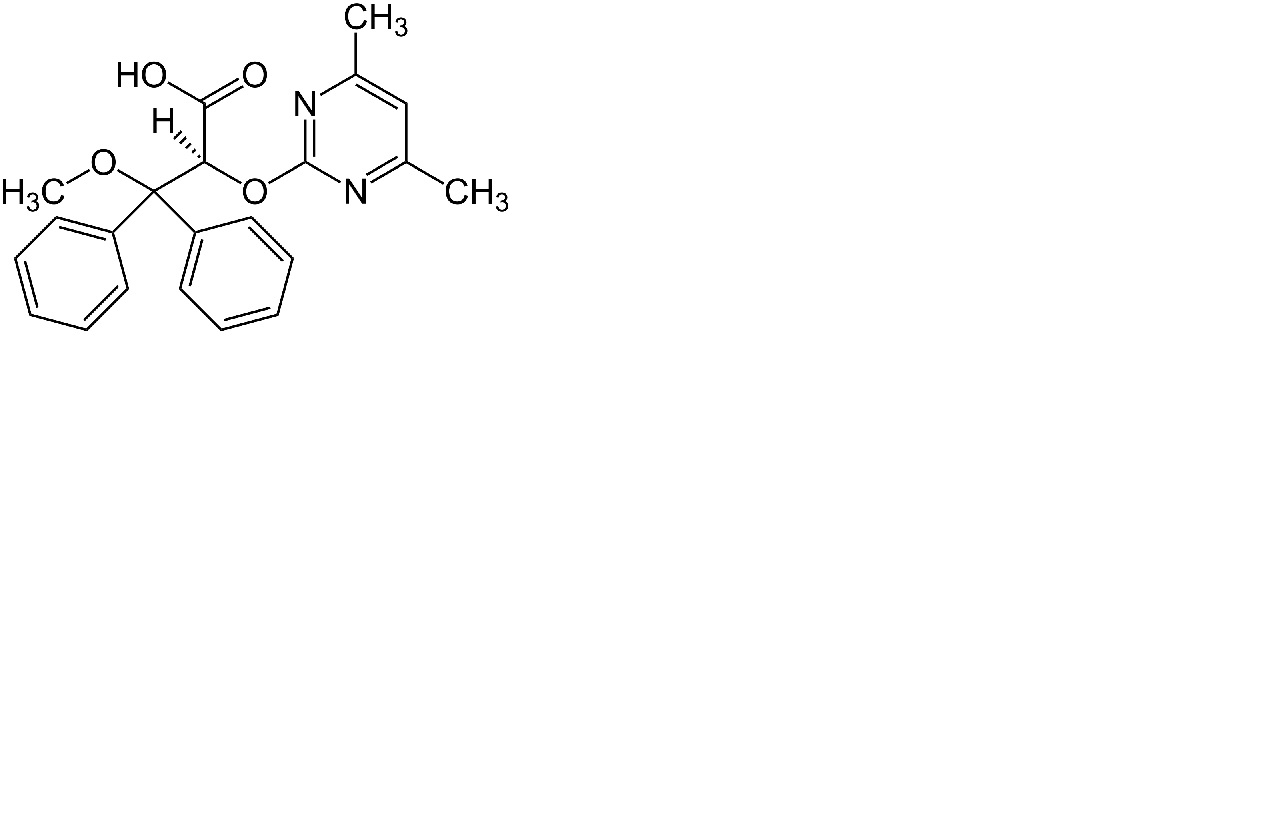
   Kjemisk struktur  

Mikstur
Stabilitet av farmasøytiske preparater   Mikstur   Stabilitet av farmasøytiske preparater : Ambrisentan     
Beholder Origine Hjelpestoff Temperatur Oppbevaring Varighet av stabilitet Referanser
Plastflaske Tabletter 30 mg
® = Gilead Sciences
Glyserin 2,5 mL
OraPlus® 15 mL
Orasweet® 12,5 mL
21-27°C Beskyttes mot lys
90 Dag
4560
Bevisgrad D

Plastflaske Tabletter 30 mg
® = Gilead Sciences
Glyserin 2,5 mL
OraPlus® 15 mL
Orasweet® 12,5 mL
3,2-4,8°C Beskyttes mot lys
90 Dag
4560
Bevisgrad D


  Mentions Légales