viimane versioon :
18/03/2026
Infostab
ingredientide nimekiri
nimekiri
Sobivus otsing
Y-liini sobivuse tabel
Viited
uurimisrühmad
valistab
plakat
Sidemed
sponsorid
Autor
Kasutusjuhend
ajakiri
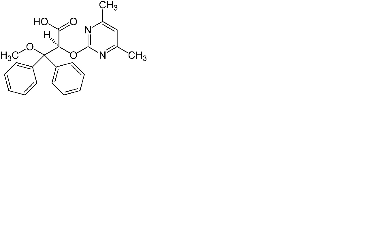
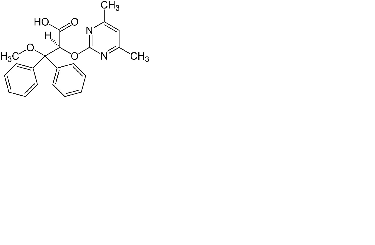
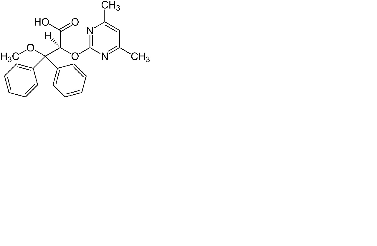
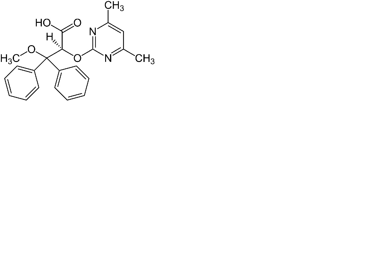
Ambrisentan
keemiline struktuur
Stabiilsust ravimpreparaadid : Ambrisentan
30 mg
® = Gilead Sciences
Glütseriin
2,5 mL
OraPlus®
15 mL
Orasweet®
12,5 mL
21-27°C
90
4560
30 mg
® = Gilead Sciences
Glütseriin
2,5 mL
OraPlus®
15 mL
Orasweet®
12,5 mL
3,2-4,8°C
90
4560
Mentions Légales