Останнє оновлення :
05/12/2025
Судинорозширювальний засіб   Ambrisentan  
Розчин для перорального застосування
Стабільність фармацевтичних препаратів Стійкість сумішей Фактори, що впливають на стабільність Сумісність Список літератури pdf
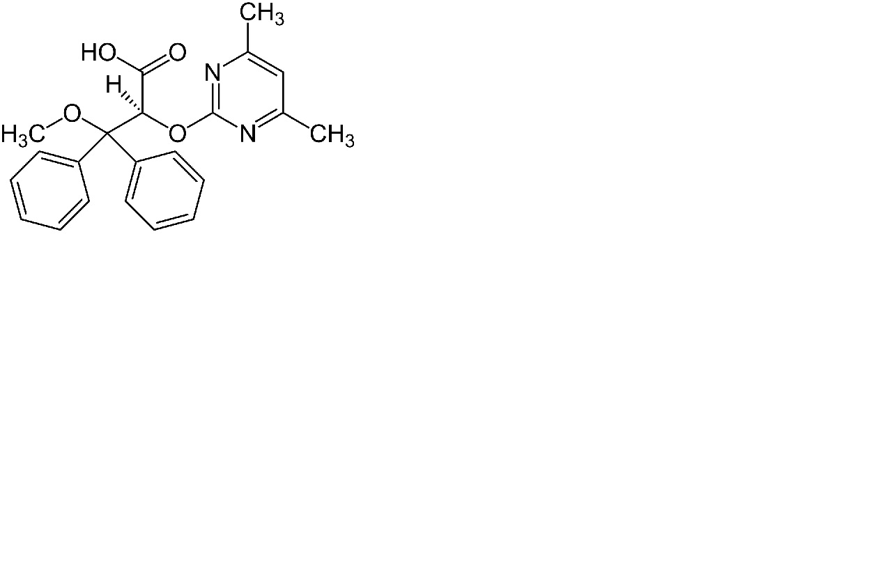
   Хімічна структура  

Розчин для перорального застосування
Стабільність фармацевтичних препаратів   Розчин для перорального застосування   Стабільність фармацевтичних препаратів : Ambrisentan     
Контейнер Origine допоміжна речовина температура Зберігання Тривалість стабільності Список літератури
пластикова пляшка таблетки 30 mg
® = Gilead Sciences
Гліцерин 2,5 mL
OraPlus® 15 mL
Orasweet® 12,5 mL
21-27°C Берегти від світла
90 День
4560
Рівень доказовості D

пластикова пляшка таблетки 30 mg
® = Gilead Sciences
Гліцерин 2,5 mL
OraPlus® 15 mL
Orasweet® 12,5 mL
3,2-4,8°C Берегти від світла
90 День
4560
Рівень доказовості D


  Mentions Légales