Ultimele actualizari :
05/12/2025
Infostab
Listele
Listele
Cercetări de compatibilitate
Tabel de compatibilitate Y-site
Bibliografie
Echipe de cercetare
valistab
poster
Conexiuni
sponsori
Autor
Mod de utilizare
Newsletter
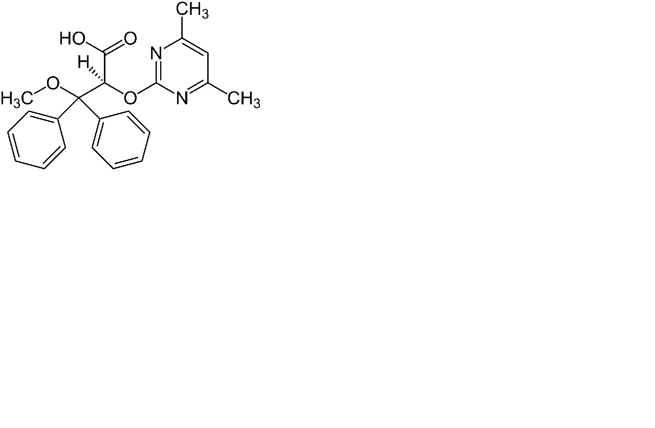
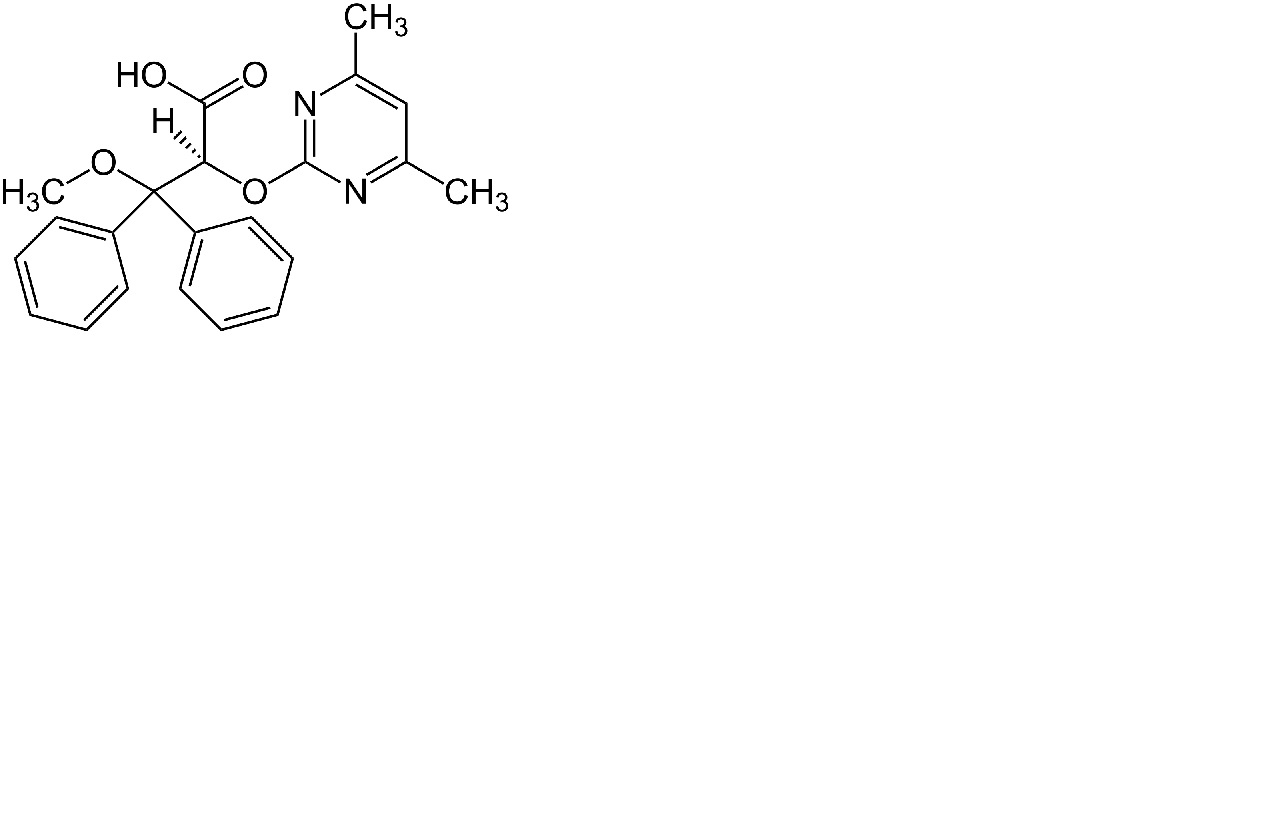
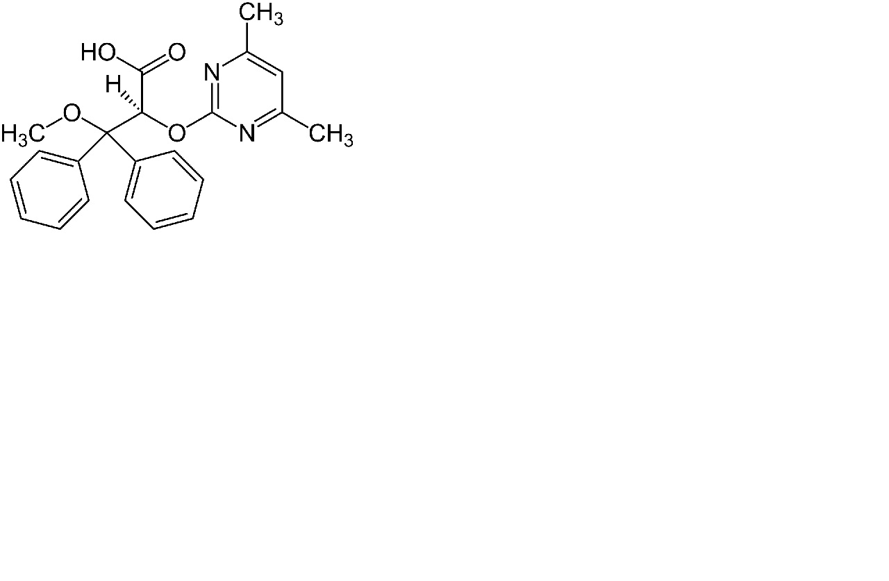
Ambrisentan
Formula chimica
Stabilitatea preparatelor farmaceutice : Ambrisentan
30 mg
® = Gilead Sciences
Glicerină
2,5 mL
OraPlus®
15 mL
Orasweet®
12,5 mL
21-27°C
90
4560
30 mg
® = Gilead Sciences
Glicerină
2,5 mL
OraPlus®
15 mL
Orasweet®
12,5 mL
3,2-4,8°C
90
4560
Mentions Légales