Utolsó frissítés :
27/11/2025
Értágító   Ambrisentan  
belsőleges oldat
Stabilitása gyógyszerészeti készítmények A keverékek stabilitása Stabilitást befolyásoló tényezők Kompatibilitás Irodalom pdf
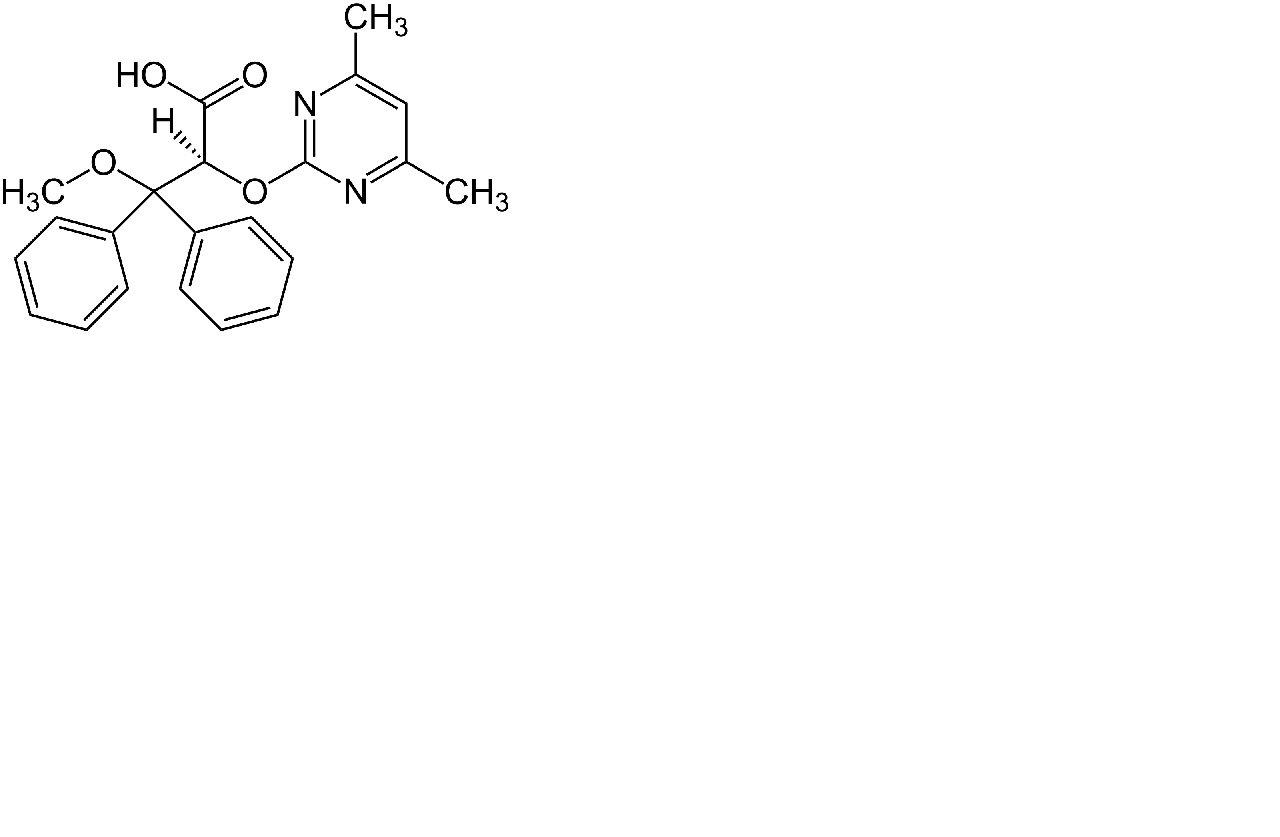
   Kémiai szerkezet   

belsőleges oldat
Stabilitása gyógyszerészeti készítmények   belsőleges oldat   Stabilitása gyógyszerészeti készítmények : Ambrisentan     
Csomagolás Origine segédanyag Hőmérséklet Tárolás A stabilitás időtartama Irodalom
műanyag flakon tabletta 30 mg
® = Gilead Sciences
Glicerin 2,5 mL
OraPlus® 15 mL
Orasweet® 12,5 mL
21-27°C Fénytől védve tartandó
90 Nap
4560
Szintű bizonyítékot D

műanyag flakon tabletta 30 mg
® = Gilead Sciences
Glicerin 2,5 mL
OraPlus® 15 mL
Orasweet® 12,5 mL
3,2-4,8°C Fénytől védve tartandó
90 Nap
4560
Szintű bizonyítékot D


  Mentions Légales