Останнє оновлення :
31/03/2026
Судинорозширювальний засіб   Minoxidil  
Розчин для перорального застосування
Мазі
Стабільність фармацевтичних препаратів Стійкість сумішей Фактори, що впливають на стабільність Сумісність Список літератури pdf
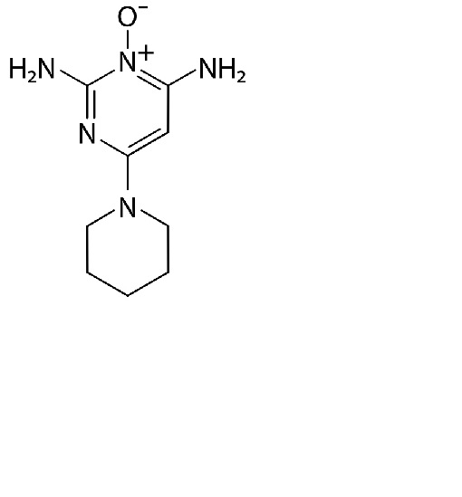
   Хімічна структура  

Розчин для перорального застосування
Стійкість сумішей   Розчин для перорального застосування   Стійкість сумішей : Minoxidil     
7 / 5 000 Résultats de traduction Немає даних

  Mentions Légales