Τελευταία ενημέρωση :
31/03/2026
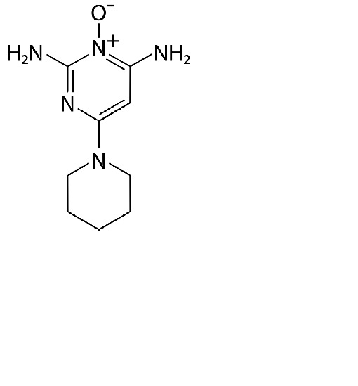
Θρομβολυτικό   Minoxidil  
Πόσιμο διάλυμα
Αλοιφές
Σταθερότητα και συμβατότητα των φαρμάκων Σταθερότητα σε μίγματα Παράγοντας που επηρεάζει τη σταθερότητα Συμβατότητες Βιβλιογραφία pdf
   χημική δομή  

Πόσιμο διάλυμα
Σταθερότητα σε μίγματα   Πόσιμο διάλυμα   Σταθερότητα σε μίγματα : Minoxidil     
Δεν υπάρχουν πληροφορίες

  Mentions Légales