Laatste update :
31/03/2026
Vaatverwijder   Minoxidil  
Orale Oplossing
zalf
Stabiliteit van farmaceutische preparaten Stabiliteit in mengsels Factoren die de stabiliteit beïnvloeden Verenigbaarheden Literatuur pdf
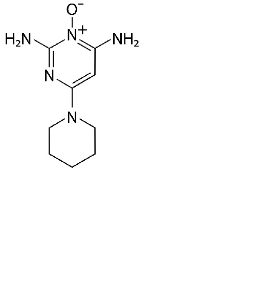
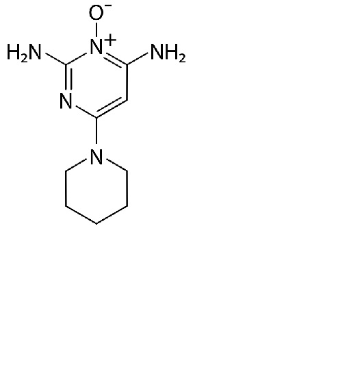
   Molecuulstructuur  

Orale Oplossing
Stabiliteit in mengsels   Orale Oplossing   Stabiliteit in mengsels : Minoxidil     
geen gegevens

  Mentions Légales