Utolsó frissítés :
31/03/2026
Értágító   Minoxidil  
belsőleges oldat
kenőcs
Stabilitása gyógyszerészeti készítmények A keverékek stabilitása Stabilitást befolyásoló tényezők Kompatibilitás Irodalom pdf
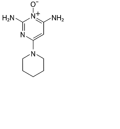
   Kémiai szerkezet   

belsőleges oldat
A keverékek stabilitása   belsőleges oldat   A keverékek stabilitása : Minoxidil     
Hiányzó adat

  Mentions Légales