Son güncelleme :
31/03/2026
Vazodilatör   Minoxidil  
Oral solüsyon / oral çözelti
Merhem
Farmasötik preparatlar Kararlılığı Karışımlardaki stabilitesi Stabiliteyi etkileyen faktörler Uyumluluk Kaynaklar pdf
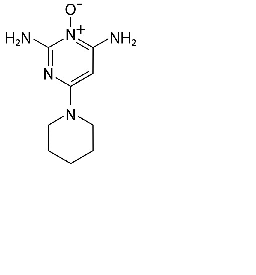
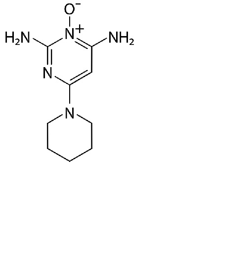
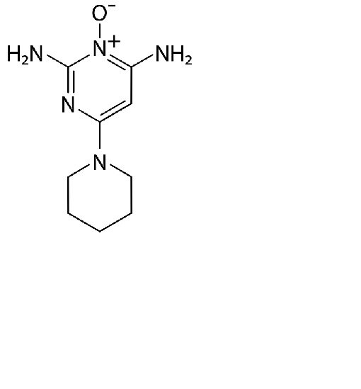
   Kimyasal yapı   

Oral solüsyon / oral çözelti
Karışımlardaki stabilitesi   Oral solüsyon / oral çözelti   Karışımlardaki stabilitesi : Minoxidil     
veri yok

  Mentions Légales