Posledná aktualizácia :
31/03/2026
vazodilatans   Minoxidil  
Perorálny roztok
Dermálny prípravok
Stabilita farmaceutických prípravkov Stabilita v zmesiach Faktory ovplyvňujúce stabilitu Kompatibility Odkazy na literatúru PDF
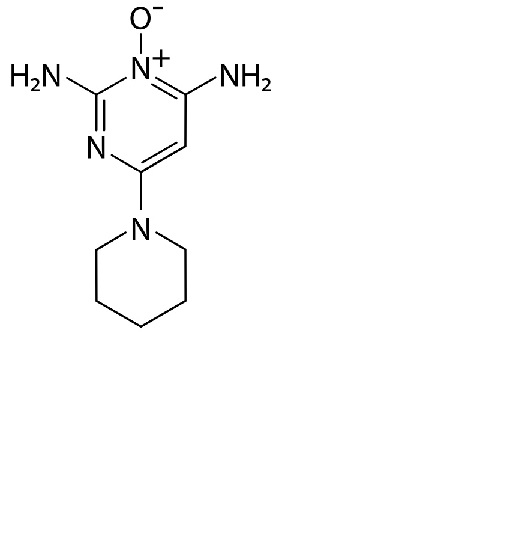
   Chemický vzorec  

Perorálny roztok
Stabilita v zmesiach   Perorálny roztok   Stabilita v zmesiach : Minoxidil     
žiadne údaje

  Mentions Légales