Poslední aktualizace :
31/03/2026
Kraujagysles plečiantis vaistas   Minoxidil  
Geriamas tirpalas
Tepalai
Stabilumas farmacinių preparatų Mišinių stabilumas Stabilumą lemiantys veiksniai Suderinamumas Bibliografija pdf
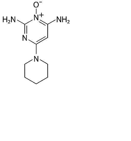
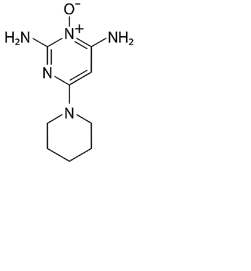
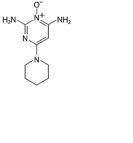
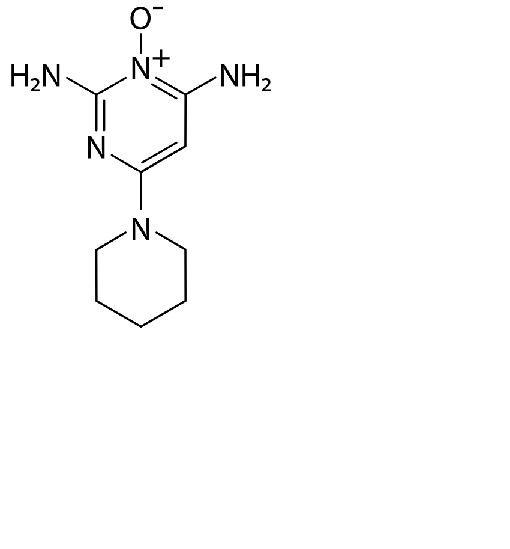
   Cheminė sandara  

Geriamas tirpalas
Mišinių stabilumas   Geriamas tirpalas   Mišinių stabilumas : Minoxidil     
Nėra duomenų

  Mentions Légales