Senaste uppdateringen :
31/03/2026
Vasodilaterare   Minoxidil  
Oral lösning
Salvor
Stabilitet av läkemedel Stabilitet i blandningar Faktorer som påverkar stabiliteten Kompatibilitet Hänvisningar pdf
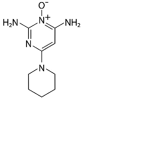
   Molekylstruktur  

Oral lösning
Stabilitet i blandningar   Oral lösning   Stabilitet i blandningar : Minoxidil     
Ingen uppgift

  Mentions Légales