Pēdējā atjaunošana :
31/03/2026
Vazodiletators   Minoxidil  
Orāls šķīdums
Ziedes
Stabilitāte farmaceitisko preparātu Maisījuma stabilitāte Stabilitāti ietekmējoši faktori Saderība Literatūras saraksts pdf
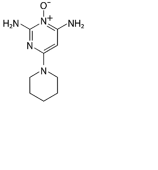
   Ķīmiskā uzbūve   

Orāls šķīdums
Maisījuma stabilitāte   Orāls šķīdums   Maisījuma stabilitāte : Minoxidil     
Nav datu

  Mentions Légales