آخر تحديث :
31/03/2026
موسع الشرايين   Minoxidil  
عن طريق الفم
المراهم
استقرار المستحضرات الصيدلانية استقرار مخاليط العوامل التي تؤثر على الاستقرار التوافق مراجع pdf
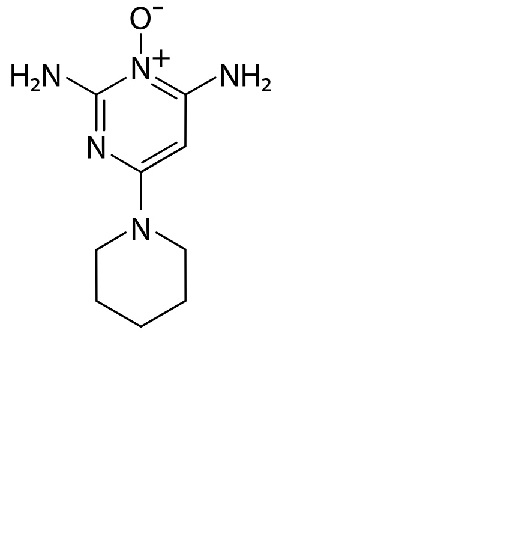
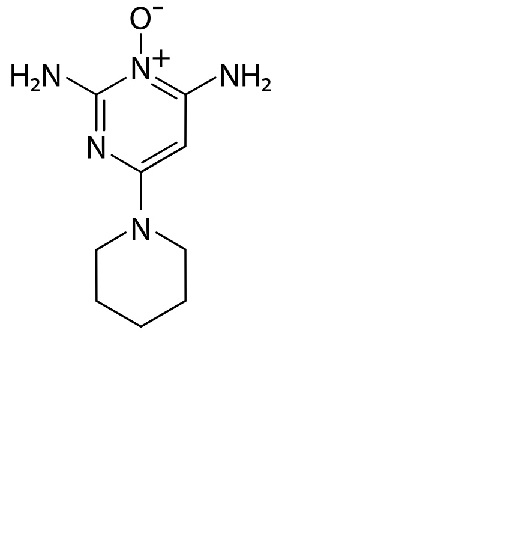
   التركيب الكيميائي  

عن طريق الفم
استقرار مخاليط   عن طريق الفم     استقرار مخاليط : Minoxidil     
لا توجد بيانات

  Mentions Légales