Última actualización :
31/03/2026
Vasodilatador   Minoxidil  
Solución Oral
Preparaciones tópicas
La estabilidad de las preparaciones farmacéuticas Estabilidad en mezcla Factores que influyen sobre la estabilidad Compatibilidades Bibliografía pdf
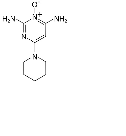
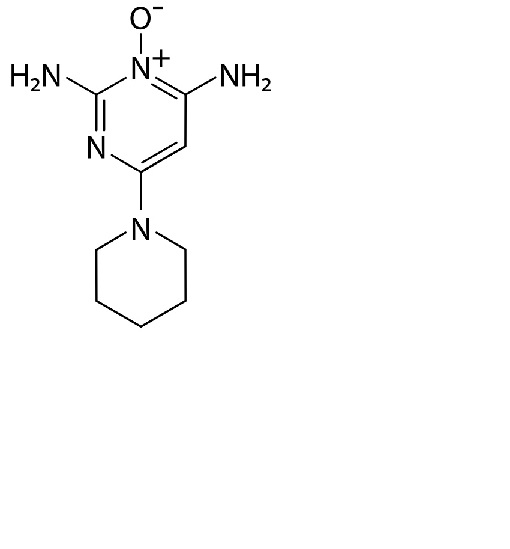
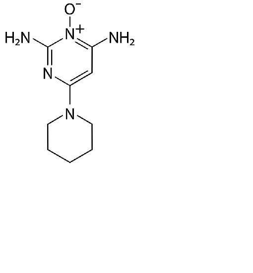
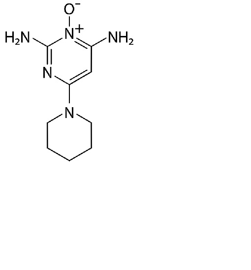
   Estructura química  

Solución Oral
Estabilidad en mezcla   Solución Oral   Estabilidad en mezcla : Minoxidil     
Ausencia de datos

  Mentions Légales