Última actualización :
17/12/2025
Antiemético   Prochlorperazine edysilate  
Gotas nasales
Inyectables
La estabilidad de las preparaciones farmacéuticas Estabilidad en mezcla Factores que influyen sobre la estabilidad Compatibilidades Bibliografía pdf
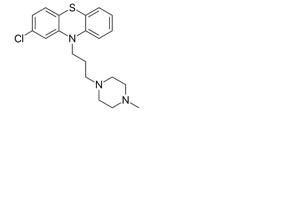
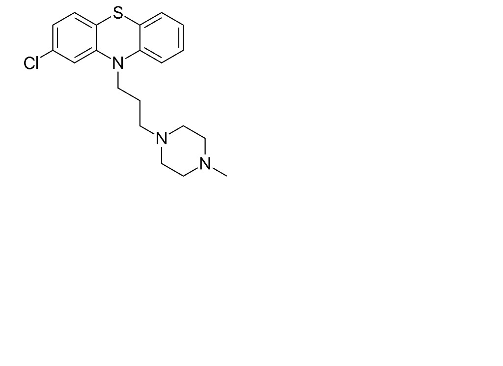
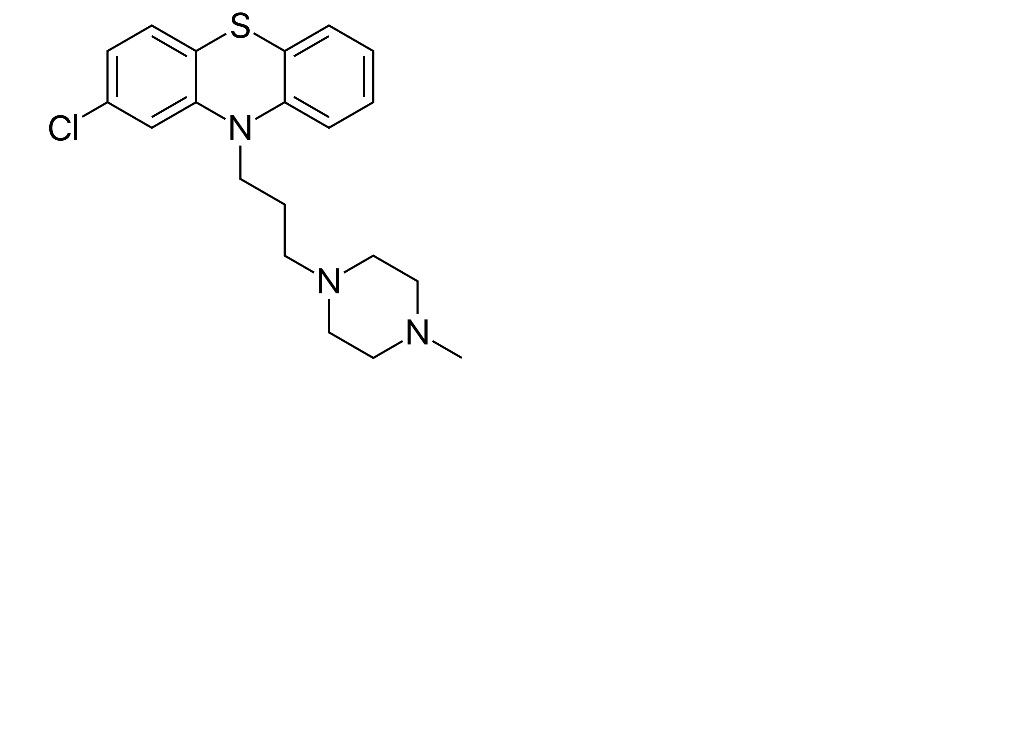
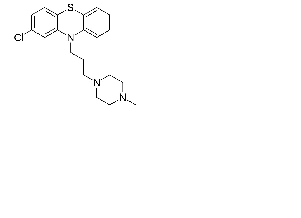
   Estructura química  

Gotas nasales
La estabilidad de las preparaciones farmacéuticas   Gotas nasales   La estabilidad de las preparaciones farmacéuticas : Prochlorperazine edysilate     
Envase Origine Excipiente Temperatura Conservación Duración de la estabilidad Bibliografía
Botella de plástico Polvo 250 mg
ácido cítrico 5 mg
NaCl 0.9% 450 mg
Agua purificada >> 50 mL
ácido clorhídrico 0.1N pH 2.5
22°C A cubierto de la luz
60 Día
4054


  Mentions Légales