Ostatnia aktualizacja :
17/12/2025
środek przeciwwymiotny   Prochlorperazine edysilate  
Krople do nosa
Injekcje
Stabilność preparatów farmaceutycznych Trwałość w mieszaninie Czynnik wpływający na trwałość Zgodność Bibliografia pdf
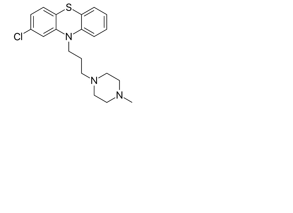
   Struktura chemiczna  

Krople do nosa
Stabilność preparatów farmaceutycznych   Krople do nosa   Stabilność preparatów farmaceutycznych : Prochlorperazine edysilate     
Pojemnik Origine Substancja pomocniczna Temperatura Przechowywanie Czas trwania stabilności Bibliografia
Butelka plastikowa Proszek 250 mg
kwas cytrynowy 5 mg
NaCl 0.9% 450 mg
Woda oczyszczona >> 50 mL
kwas chlorowodorowy 0.1N pH 2.5
22°C Chronić od światła
60 Dzień
4054


  Mentions Légales