fermer
Последнее обновление :
17/12/2025
Infostab
Списки
Списки
Поиск совместимостей
Таблица совместимостей в Y-соединении систем
Библиография
Исследовательские группы
valistab
плакат
связи
спонсоры
Автор
Инструкция по эксплуатации
Информационый бюллетень
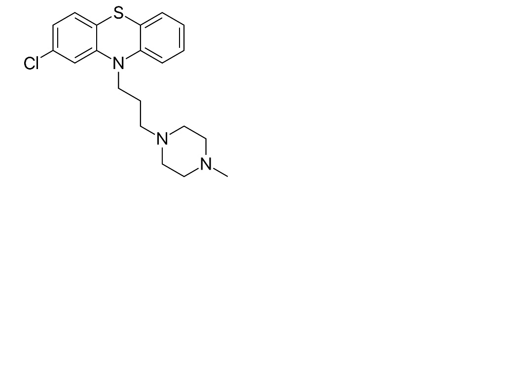
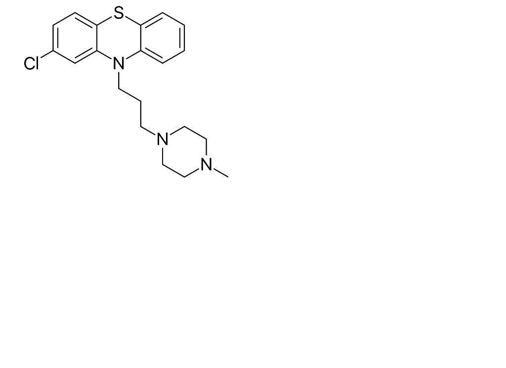
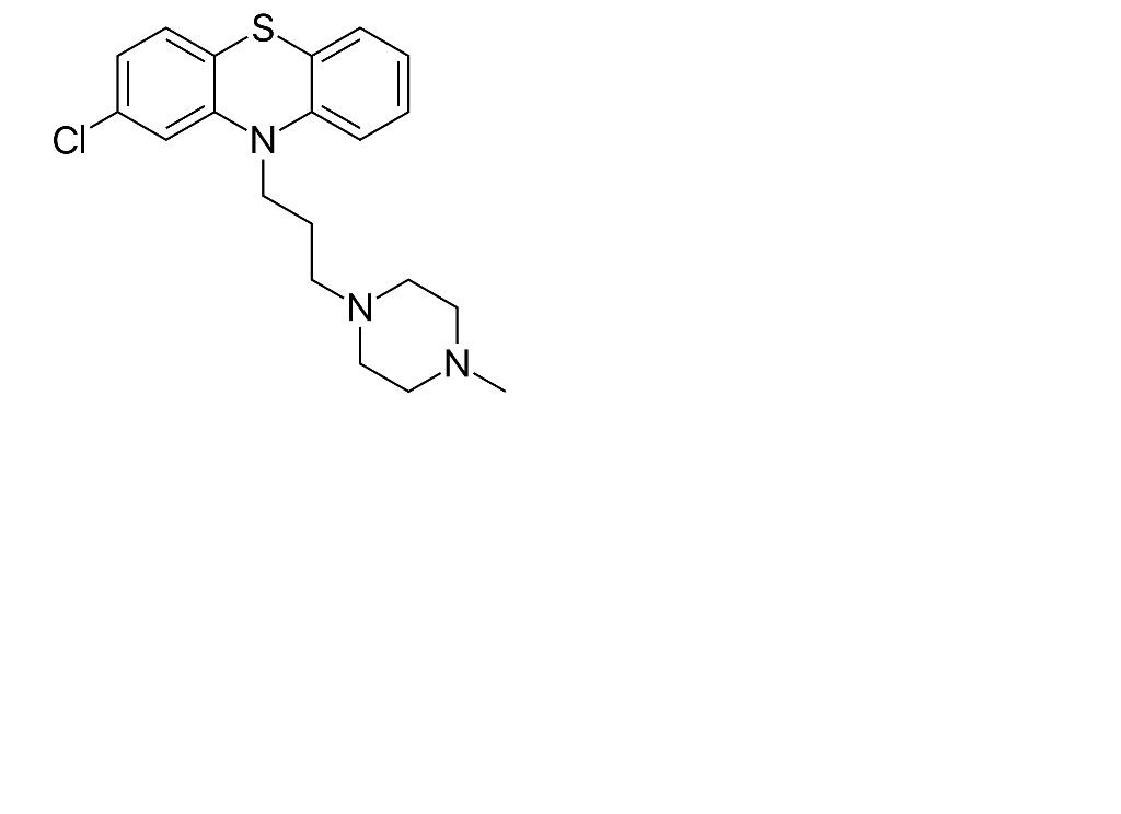
Prochlorperazine edysilate
Химическая структура
Стабильность фармацевтических препаратов : Prochlorperazine edysilate
250 mg
Лимонная кислота
5 mg
Хлорид натрия 0,9%
450 mg
Очищенная вода
>> 50 mL
Соляная кислота
0.1N pH 2.5
22°C
60
4054
Mentions Légales