最新更新 :
17/12/2025
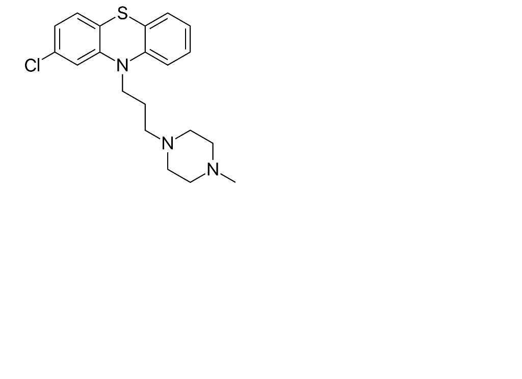
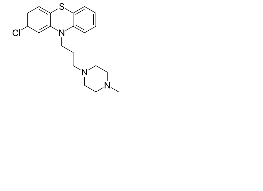
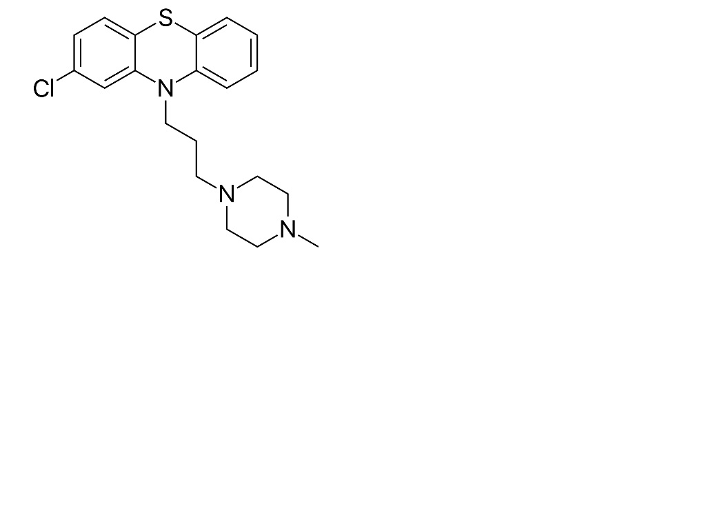
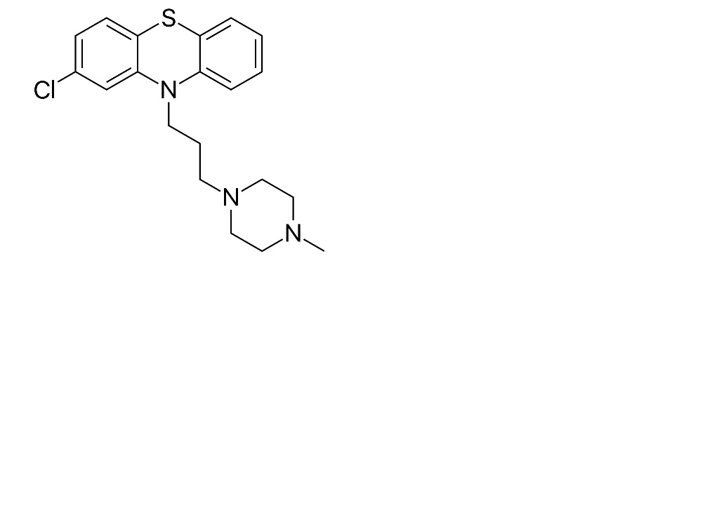
止吐药   Prochlorperazine edysilate  
鼻腔喷剂
注射液
制剂的稳定性 混合物稳定性 影响稳定性的因素 兼容性 引用文献 PDF
   化学式  

鼻腔喷剂
制剂的稳定性   鼻腔喷剂   制剂的稳定性 : Prochlorperazine edysilate     
容器 Origine 添加剂 温度 保存 穩定持續時間 引用文献
塑料瓶 粉剂 250 mg
柠檬酸 5 mg
NaCl 0.9% 450 mg
净化水 >> 50 mL
盐酸 0.1N pH 2.5
22°C 避光
60 白天
4054


  Mentions Légales