zadnja posodobitev :
27/11/2025
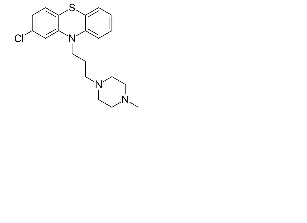
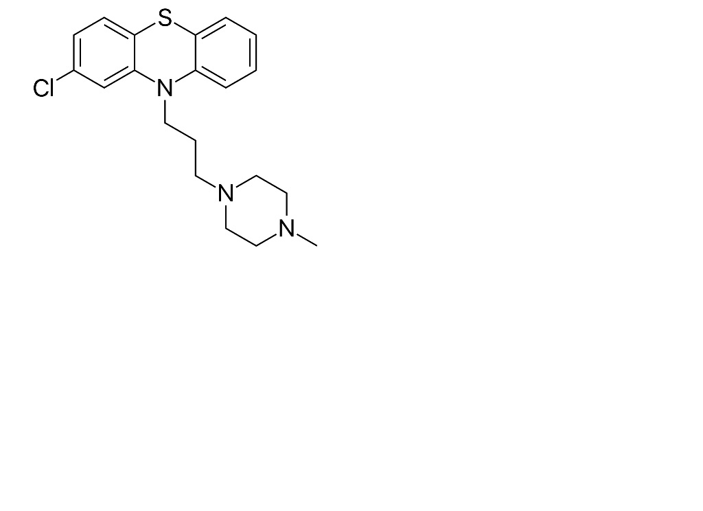
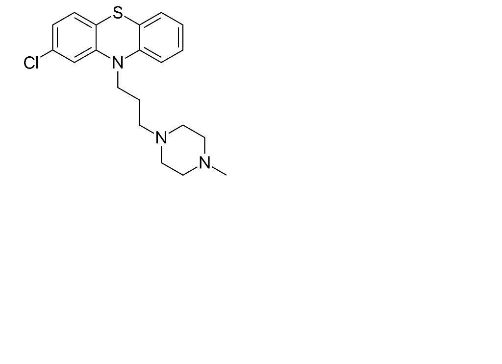
Antiemetik   Prochlorperazine edysilate  
Kapljice za nos
Brizgalka
Stabilnost farmacevtskih preparatov Stabilnost mešanice Faktorji, ki vplivajo na stabilnost Kompatibilnost Viri pdf
   Kemična formula  

Kapljice za nos
Stabilnost farmacevtskih preparatov   Kapljice za nos   Stabilnost farmacevtskih preparatov : Prochlorperazine edysilate     
Vsebnik Origine Ekscipient Temperatura Shranjevanje Trajanje stabilnosti Viri
Plastenka Prašek 250 mg
Citronska kislina 5 mg
NaCl 0.9% 450 mg
Prečiščena voda >> 50 mL
Solna kislina 0.1N pH 2.5
22°C Zaščiteno pred svetlobo
60 Dan
4054


  Mentions Légales