Seneste opdatering :
27/11/2025
Antiemetisk   Prochlorperazine edysilate  
Næsedråber
Injektion
Stabilitet af farmaceutiske tilberedninger Stabilitet i blandinger Faktorer der påvirker stabiliteten Kompatibilitet Bibliografi pdf
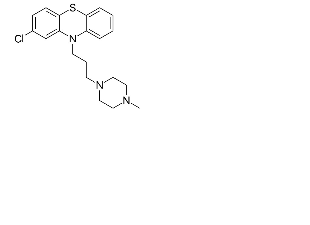
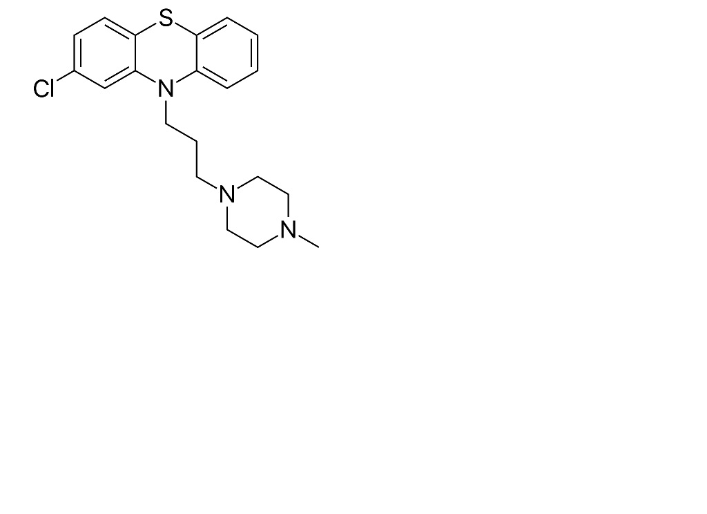
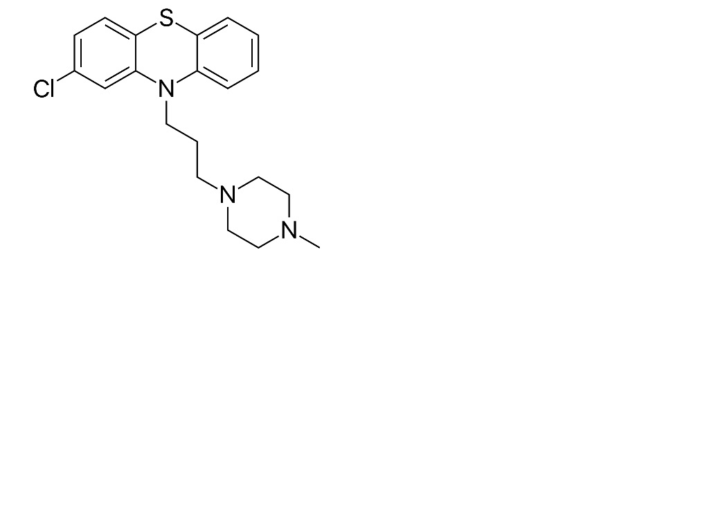
   Kemisk struktur  

Næsedråber
Stabilitet af farmaceutiske tilberedninger   Næsedråber   Stabilitet af farmaceutiske tilberedninger : Prochlorperazine edysilate     
Beholder Origine Hjælpestof Temperatur Konservering Varighed af stabilitet Bibliografi
Plastflaske Pulver 250 mg
Citronsyre 5 mg
NaCl 0.9% 450 mg
Renset vand >> 50 mL
Saltsyre 0.1N pH 2.5
22°C Beskyt mod lys
60 Dag
4054


  Mentions Légales