Utolsó frissítés :
18/03/2026
Hányáscsillapító   Prochlorperazine edysilate  
orrcseppek
Injekció
Stabilitása gyógyszerészeti készítmények A keverékek stabilitása Stabilitást befolyásoló tényezők Kompatibilitás Irodalom pdf
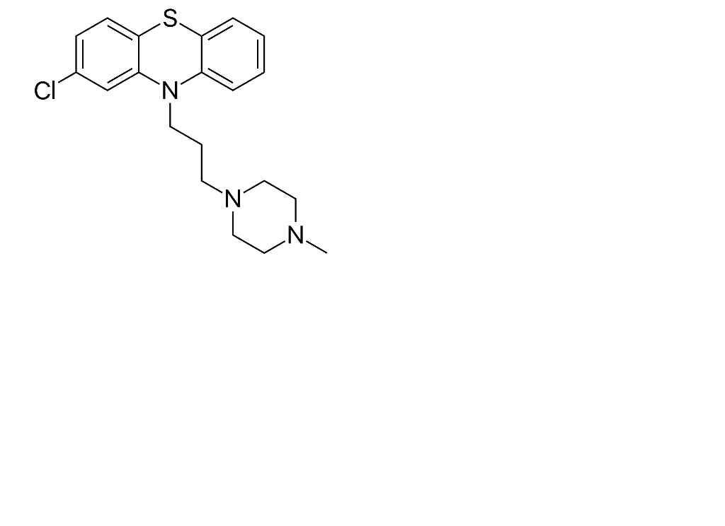
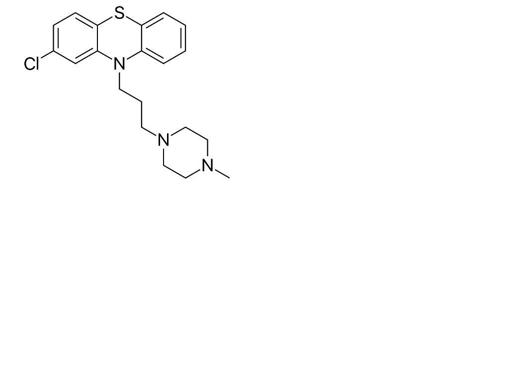
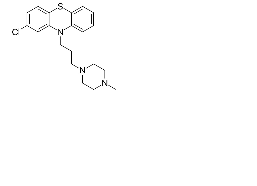
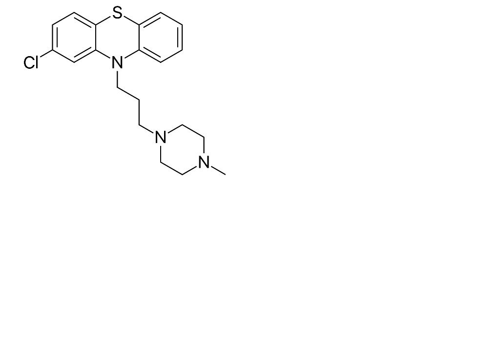
   Kémiai szerkezet   

orrcseppek
Stabilitása gyógyszerészeti készítmények   orrcseppek   Stabilitása gyógyszerészeti készítmények : Prochlorperazine edysilate     
Csomagolás Origine segédanyag Hőmérséklet Tárolás A stabilitás időtartama Irodalom
műanyag flakon por 250 mg
citromsav 5 mg
NaCl 0.9% 450 mg
Tisztított víz >> 50 mL
sósav 0.1N pH 2.5
22°C Fénytől védve tartandó
60 Nap
4054


  Mentions Légales