Last update :
18/03/2026
Antiemetic   Prochlorperazine edysilate  
nasal drops
injection
Stability of pharmaceutical preparations Stability of mixtures Factors which affect stability Compatibility References pdf
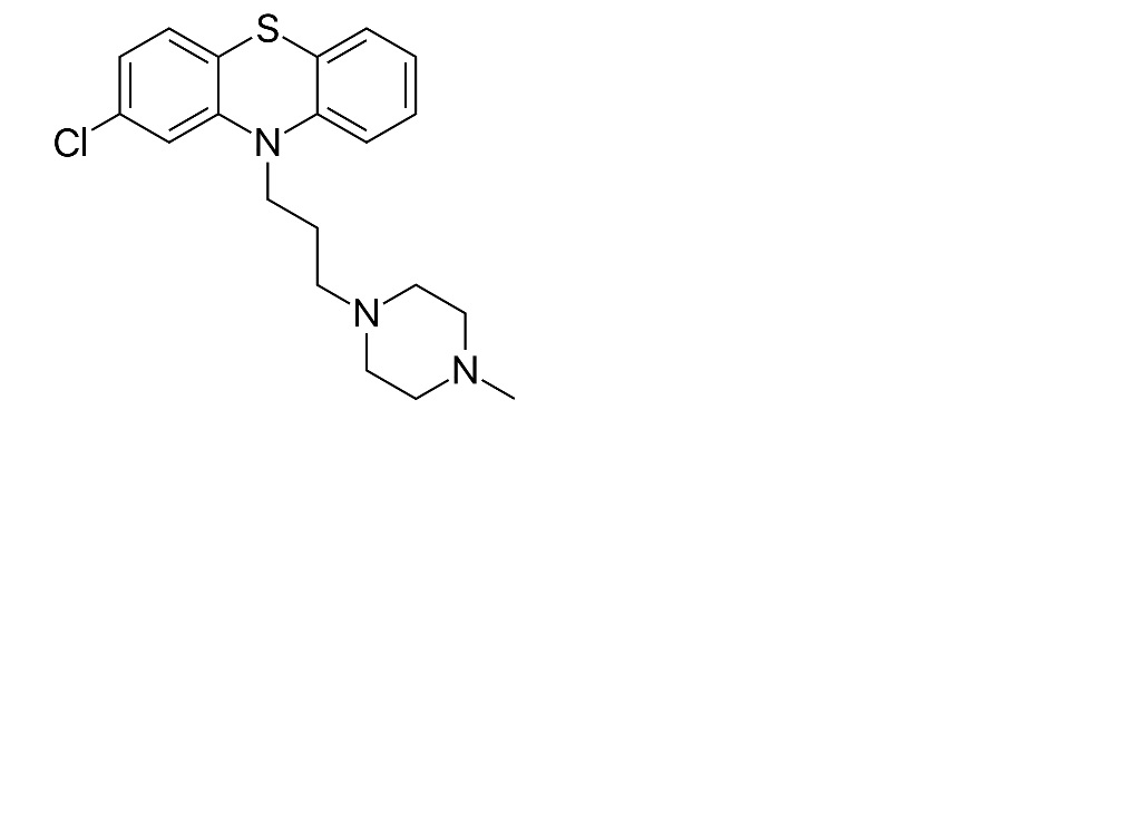
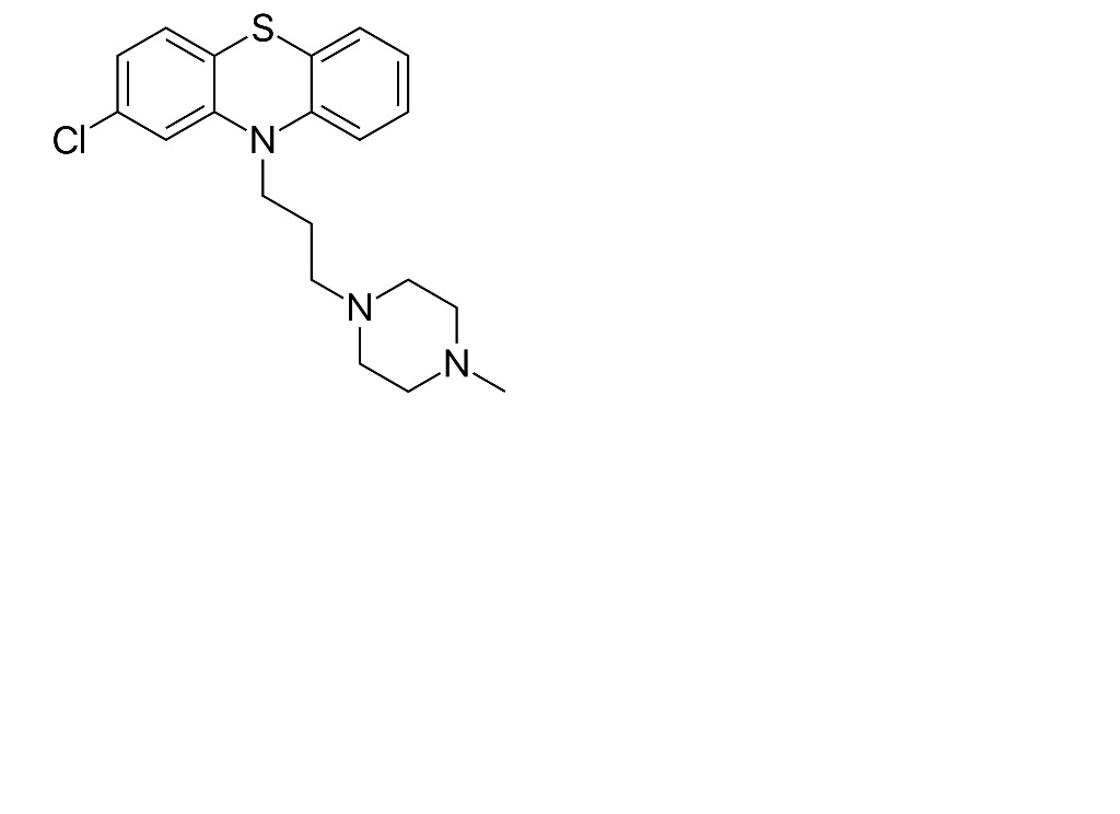
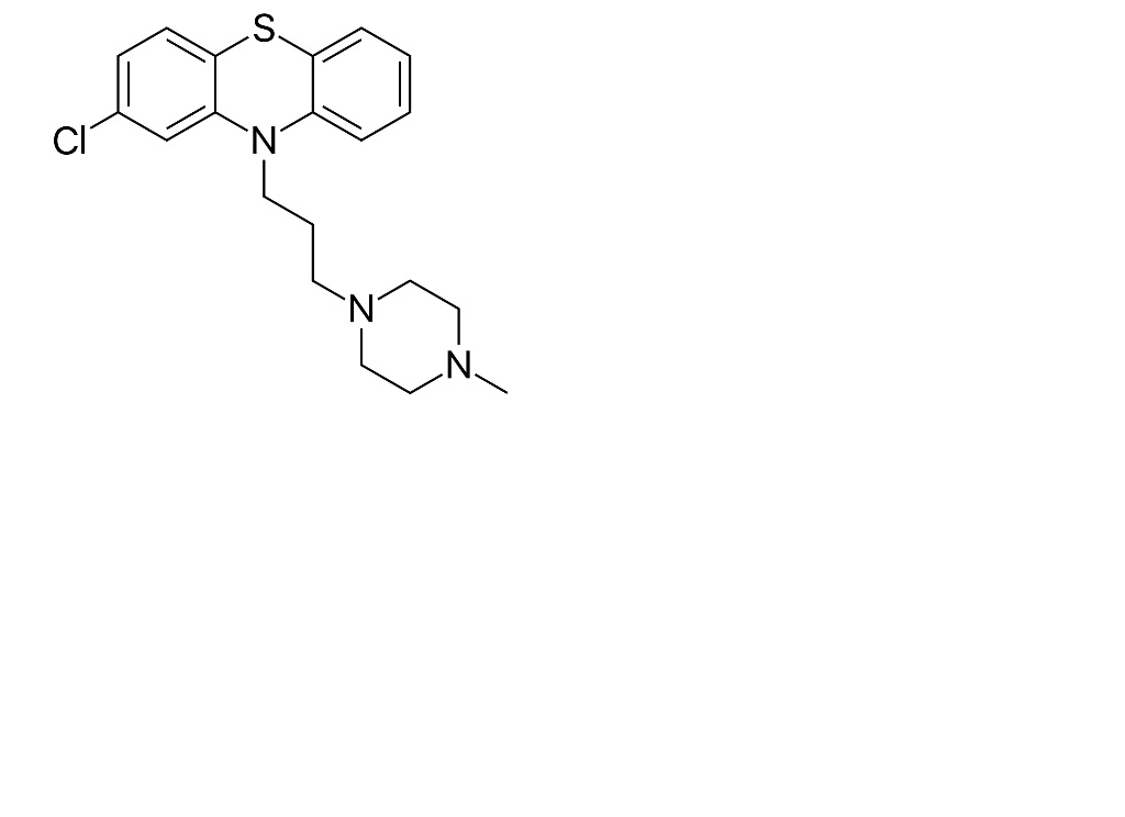
   Chemical structure  

nasal drops
Stability of pharmaceutical preparations   nasal drops   Stability of pharmaceutical preparations : Prochlorperazine edysilate     
Container Origine excipient Temperature Storage Duration of stability References
plastic bottle powder 250 mg
Citric acid 5 mg
NaCl 0.9% 450 mg
Purified water >> 50 mL
hydrochloric acid 0.1N pH 2.5
22°C Protect from light
60 Day
4054


  Mentions Légales