Zadnji put ažurirano :
27/11/2025
antiemetik   Prochlorperazine edysilate  
kapi za nos
injekcija
Stabilnost farmaceutskih pripravaka Stabilnost mješavine Stabilizacijski faktor Kompatibilnosti Bibliografija pdf
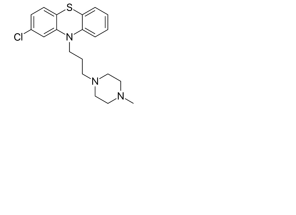
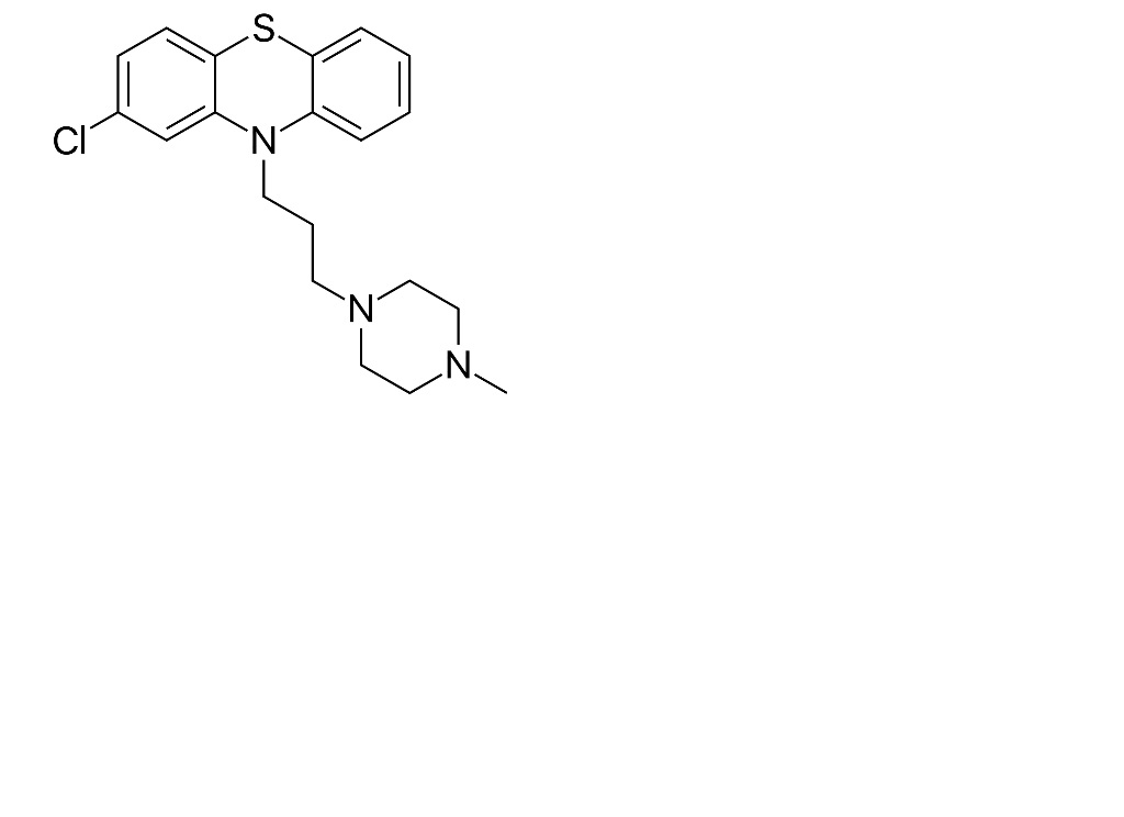
   Kemijska struktura  

kapi za nos
Stabilnost farmaceutskih pripravaka   kapi za nos   Stabilnost farmaceutskih pripravaka : Prochlorperazine edysilate     
Kontejner Origine pomoćna tvar temperatura Konzerviranje Trajanje stabilnosti Bibliografija
plastična boca prašak 250 mg
limunska kiselina 5 mg
NaCl 0.9% 450 mg
pročišćena voda >> 50 mL
klorovodična kiselina 0.1N pH 2.5
22°C Zaštićeno od svjetlosti
60 dan
4054


  Mentions Légales